Question 1
Question
Rama de la matemática cuyo objeto es el estudio específico de los números.
Answer
-
Geometría
-
Aritmética
-
Álgebra
-
Cálculo
Question 2
Question
Aquél número que solo es divisible entre si mismos y la unidad.
Answer
-
Decimal
-
Fracción
-
Número primo
-
Número negativo
Question 3
Question
La suma de los ángulos internos de un triángulo da como resultado:
Question 4
Question
Son dos ejes perpendiculares que dividen un superficie en 4 cuadrantes
Answer
-
Ordenadas
-
Abcisas
-
Ejes cartesianos
-
Ecuaciones
Question 5
Question
Son valores que nos permiten localizar con exactitud cualquier punto en un plano cartesiano
Answer
-
Ordenadas y abscisas
-
Números
-
Símbolos
-
Coordenadas
Question 6
Question
La fracción se divide en 2 ¿Cuáles son esas dos partes?
Answer
-
Absoluto y relativo
-
Dividendo y substrayendo
-
Numerador y denominador
-
Suma y Resta
Question 7
Question
Es la fracción donde el numerador es mayor o igual al denominador
Answer
-
Fracción Impropia
-
Fracción propia
-
Fracción mixta
-
Fracción decimal
Question 8
Question
¿Para resolver una ecuación de la forma ... se factoriza la expresión y cada uno de los factores se iguala a 2?
Question 9
Question
Es la parte de la matemáticas que estudia todo aquello relacionado con figuras
Answer
-
Geometría
-
Álgebra
-
Aritmética
-
Cálculo
Question 10
Question
Los números que son menor a 0 en la recta númerica, son números....
Answer
-
Positivos
-
Negativos
-
Decimales
-
Primos
Question 11
Question
¿Si multiplicas un número entero por decimales tu número será?
Question 12
Question
Símbolo que representa una cantidad que puede sufrir cambios
Answer
-
Fracción
-
Incognita
-
Variable
-
Decimal
Question 13
Question
¿Cuantas raíces puede tener una ecuación de PRIMER GRADO
Question 14
Question
La cantidad desconocida en una ecuación se le llama ....?
Answer
-
incognita
-
irreal
-
real
-
Variable
Question 15
Question
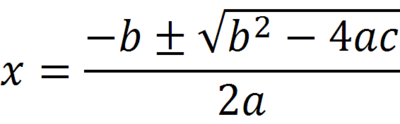
Para resolver un polinomio se usa una fórmula general, ¿Cual es la fórmula del discriminante sacada de esa fórmula?
Question 16
Question
Es una figura plana compuesta de por una secuencia finita de segmentos rectos consecutivos que cierran una región en un plano.
Answer
-
Figura geométrica
-
Polinomio
-
Polígono
-
Cuadrado
Question 17
Question
Es la medida de la región de una superficie dentro de una figura geométrica.
Question 18
Question
El Cuadrado, círculo, rectángulo, triángulo y pentágono son:
Answer
-
Figuras geométricas
-
Ángulos
-
Lineas
-
Rama de la aritmética
Question 19
Question
Línea recta que une el centro de un círculo con cualquier punto del borde de la circunferencia.
Answer
-
Périmetro
-
Circunferencia
-
Radio
-
Diámetro
Question 20
Question
Conjunto de símbolos y reglas para representar números
Answer
-
Sistema Decimal
-
Sistema de numeración
-
Fracciones
-
Geometría