PROGRAMACION

Description

EXAMEN DE RECUPERACIÒN
nallely lopez
Quiz by nallely lopez, updated more than 1 year ago
nallely lopez
Created by nallely lopez over 9 years ago
34
0

Resource summary

Question 1

Question
¿Qué es la programación?
Answer
  • Comunicación entre una computadora y otra
  • Algoritmos que permiten una comunicación entre la computadora y el usuario
  • Código en un lenguaje de programación para lograr que un dispositivo realice sumas
  • Proceso de codificar, diseñar, y manipular mediante un lenguaje de programación a una máquina, para lograr la comunicación entre esta y el programador, para que se lleven a cabo ciertas instrucciones.

Question 2

Question
¿Qué es un Lenguaje de Programación?
Answer
  • Hardware que me permite codificar instrucciones para la máquina.
  • Software que me permite mediante palabras reservadas e instrucciones, realizar códigos informáticos.
  • Software de desarrollo
  • Hardware de programación

Question 3

Question
¿Qué es un algoritmo?
Answer
  • Conjunto de pasos definidos,concretos y ordenas para la solución a un problema
  • La solución a un problema
  • Código de programación de manera indeterminada
  • Conjunto de acciones

Question 4

Question
Hablando de programación ¿Qué es una palabra reservada?
Answer
  • Son palabras que el programador asigna, por ejemplo nombre_variable, a, b, c.
  • Son las palabras que el lenguaje de programación utiliza para nombrar instrucciones, ejemplo: int, if else, main, y que el programador no puede manejar libremente, pues cuenta con una sintáxis
  • Palabras utilizadas para la declaración de variables ejemplo, int, float, char.
  • Cualquier palabra que forme parte de un código.

Question 5

Question
¿Qué es una variable?
Answer
  • Es un valor utilizado en las operaciones matemáticas que no puede cambiar.
  • Es un nombre asignado a los valores a utilizar en una operación matemática
  • Es un valor que se utiliza en las operaciones matemáticas y que puede variar durante la ejecución.
  • Ninguna de las anteriores.

Question 6

Question
Selecciona de la lista desplegable a que tipo de estructura pertenece la imagen.
Answer
  • Selectiva
  • Secuencial
  • Repetitiva
  • Ciclica

Question 7

Question
Selecciona de la lista desplegable a que tipo de estructura pertenece la imagen.
Answer
  • Repetitiva
  • Selectiva
  • Lineal
  • Opcional

Question 8

Question
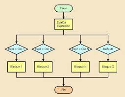
Selecciona de la lista desplegable a que tipo de estructura pertenece la imagen.
Answer
  • Selectiva
  • Opcional
  • Lineal
  • Repetitiva

Question 9

Question
La siguiente imagen pertenece a un proceso de asignación en una estructura utilizada en DFD. ¿ A qué estructura pertenece?
Answer
  • For
  • If
  • While
  • Case

Question 10

Question
Analiza la siguiente imagen y selecciona la opción que mejor se adapte a lo que, en resumen realizaría el siguiente Diagrama de Flujo si se ejecutara.
Answer
  • Realiza una suma
  • Muestra un mensaje, y después suma
  • Muestra mensaje, lee variable, repite va
  • Ninguna de la anteriores

Question 11

Question
Completa la sintaxis while ([blank_start]Condición[blank_end]){ instrucciones; }
Answer
  • Condición

Question 12

Question
For (inicio; [blank_start]limite[blank_end]; incremento) { instrucciones; }
Answer
  • limite

Question 13

Question
Completa la sintáxis switch ([blank_start]variable[blank_end]) { case 1: instrucciones; break; }
Answer
  • variable

Question 14

Question
Completa la sintaxis: if (codición) { instrucciones; } [blank_start]else[blank_end]{ instrucciones; }
Answer
  • else

Question 15

Question
Completa la sintáxis: do { instrucciones; }[blank_start]while[blank_end] (condición);
Answer
  • while

Question 16

Question
Los siguientes son ejemplos de variables de tipo INT: 3.98, 65.9871, -976.1
Answer
  • True
  • False

Question 17

Question
Los siguientes son ejemplo de tipo CHAR: 29764, 2, 0, 87, -775.
Answer
  • True
  • False

Question 18

Question
Los siguientes son ejemplo de variables de tipo Float: 3.1416, -986.23, 98.07, 9.1
Answer
  • True
  • False

Question 19

Question
DOUBLE es para declarar variables con valores Menores a las de punto decimal.
Answer
  • True
  • False

Question 20

Question
Cuando se espera una variable de texto, esta debe declararse de tipo CHAR
Answer
  • True
  • False

Question 21

Question
La instrucción [blank_start]printf[blank_end] nos permite mostrar en pantalla un texto utilizando C.
Answer
  • Printf
  • Scanf
  • Getch
  • Main

Question 22

Question
La biblioteca [blank_start]conio[blank_end] es utilizada para las instrucciones de imprimir y leer en en el lenguaje C
Answer
  • Stdlib
  • Conio
  • Math
  • Printf

Question 23

Question
La palabra reservada [blank_start]Main[blank_end] es la correspondiente a la función principal de un programa
Answer
  • Main
  • Include
  • For
  • Int

Question 24

Question
¿Cuál es la función de la las bibliotecas, en un programa de código?
Answer
  • Ninguna, pueden o no incluirse si gusta.
  • Poder utilizar las palabras reservadas correspondientes a cada biblioteca
  • Qué se puedan realizar la operaciones matemáticas
  • Para que el programa ejecute de manera correcta.

Question 25

Question
Selecciona las opciones correspondientes a características de los arreglos.
Answer
  • Ordenados de manera consecutiva
  • Diferentes tipos de datos
  • Deben pertenecer al mismo tipo de datos
  • Pueden ser de una o más dimensiones
  • No almacenan datos por tiempo indefinido

Question 26

Question
Los arreglos bidimensionales contienen filas y columnas
Answer
  • True
  • False

Question 27

Question
En la imagen se muestra el esquema de un tipo de función, selecciona a cuál pertenece
Answer
  • Recibe y Retorna
  • No recibe No Retorna
  • Recibe y No Retorna
  • No recibe y Retorna

Question 28

Question
La siguiente imagen pertenece a que tipo de arreglo:
Answer
  • Unidimensional
  • Bidimensional
  • Multidimensional

Question 29

Question
A que tipo de arreglo pertenece la siguiente imagen
Answer
  • Unidimensional
  • Bidimensional
  • Multidimensional

Question 30

Question
La siguiente imagen a que tipo de arreglo pertenece
Answer
  • Unidimensional
  • Bidimensional
  • Multidimensional
Show full summary Hide full summary

Similar

Operadores Python
Giovanni Sanhuez
Test PYTHON
peralesmagana
Mis Recursos de Programación
maya velasquez
FUNDAMENTOS DE REDES DE COMPUTADORAS
anhita
Mapa Conceptual de la arquitectura de base de datos
Alan Alvarado
Abreviaciones comunes en programación web
Diego Santos
codigos QR
Cristina Padilla
Linux - Unidad 08 Examen (Español)
Manuel Lustres
Editor Dibujo Paint
gladiscj
Test de Programacion Básica
Carlos Santillan
Prueba de evaluación de conocimientos SQL
Novaquality