null
US
Sign In
Sign Up for Free
Sign Up
We have detected that Javascript is not enabled in your browser. The dynamic nature of our site means that Javascript must be enabled to function properly. Please read our
terms and conditions
for more information.
Next up
Copy and Edit
You need to log in to complete this action!
Register for Free
6216256
Matrices y determinantes
Description
Quiz on Matrices y determinantes, created by Manuel Monja Castro on 03/09/2016.
Quiz by
Manuel Monja Castro
, updated more than 1 year ago
More
Less
Created by
Manuel Monja Castro
over 9 years ago
343
0
0
Resource summary
Question 1
Question
De la imagen adjunta, el vector U puede ser expresado como combinación lineal de los vectores A, B y C; se verifica que
Image:
0fd0d448-e773-4ad5-930b-8af22cba94d4.gif (image/gif)
Answer
Existen infinitas formas de combinación lineal.
Es un sistema inconsistente .
Existe solo una forma de combinación lineal.
Ninguna de las anteriores.
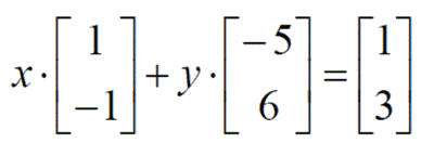
Question 2
Question
De la ecuación adjunta de forma Ax = b, ¿Cuál(es) de las siguientes opciones expresa la misma ecuación con matrices?
Image:
48d28997-0f90-4333-87ec-6b84a5f431b4.gif (image/gif)
Answer
-
Image:
cfdada85-b5af-419e-8f21-b51b7420a6fa.gif (image/gif)
.
Image:
5cc2b11b-0543-40e6-be04-bb9dc77d1d0e.gif (image/gif)
Ninguna de las anteriores
Todas las anteriores
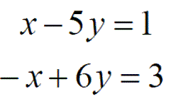
Question 3
Question
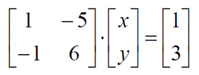
Utilizando la regla de Cramer, resolver el sistema de ecuaciones adjunto:
Image:
a39f8223-2a12-4249-952e-035ba7fb245f.gif (image/gif)
Answer
x = -16/7 , y = 34/7
x = 16/7 , y = -5
x = -16/7 , y = -34/7
Ninguna de las anteriores
Question 4
Question
Hallar la determinante de A por el método de cofactores
Image:
ab26108a-a293-4982-9b23-5c16c272980d.gif (image/gif)
Answer
42
-58
58
Ninguna de las anteriores
Question 5
Question
¿Cuál de las siguientes alternativas no es una propiedad del determinante de una matriz?
Answer
El determinante no varía al cambiar renglones por columnas.
Image:
0a659544-243d-4ced-8cdf-eb7733bc995b.gif (image/gif)
Si una línea del determinante esta afectada por un valor "t", toda el determinante queda afectada por el mismo valor.
Image:
5c4b09ab-d47c-46d7-9659-e816c5cd18d9.gif (image/gif)
Si una columna o renglón es nula, el determinante no necesariamente es 0.
Image:
82a15b4a-7c59-4e0e-8b61-5cdfa77be3f4.gif (image/gif)
Si se intercambian entre si dos líneas, el determinante cambia de signo.
Image:
4f3d8996-54e0-4ebf-908b-b23e40a54b5c.gif (image/gif)
Question 6
Question
Hallar el determinante de la matriz adjunta por transformaciones:
Image:
e365b492-85bb-4384-8f84-f5c53383eb66.gif (image/gif)
Answer
-40
20
-28
Ninguno de los anteriores.
Question 7
Question
Calcular el rango de la matriz adjunta:
Image:
09510b2f-76d8-45bc-b940-d349edd680dd.gif (image/gif)
Answer
3
2
4
1
Question 8
Question
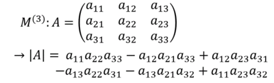
La imagen adjunta representa al determinante de la matriz A de 3 x 3
Image:
acbba020-4971-4ed8-8b7e-852a73e5a429.gif (image/gif)
Answer
True
False
Show full summary
Hide full summary
Want to create your own
Quizzes
for
free
with GoConqr?
Learn more
.
Similar
CONCEPTUALIZACIÓN DE MATRICES, VECTORES Y DETERMINANTES
Oscar De Salvador
Browse Library