Segundo Examen PSA II 2017

Description

Test sobre Segundo Examen PSA II2017, creado por Juan Loza Medrano el 29/06/2017.
Juan Loza Medrano
Quiz by Juan Loza Medrano , updated more than 1 year ago
Juan Loza Medrano
Created by Juan Loza Medrano over 8 years ago
131
0

Resource summary

Question 1

Question
La longitud, el tiempo y la masa son consideradas como:
Answer
  • unidades básicas
  • unidades derivadas
  • magnitudes vectoriales
  • magnitudes sensoriales
  • ninguna

Question 2

Question
La dimensión del peso es igual a:
Answer
  • ML-²T²
  • MLT-¹
  • MLT
  • MLT¹
  • Ninguna

Question 3

Question
La escala KELVIN tiene una división de:
Answer
  • 95
  • 97
  • 105
  • 107
  • Ninguna

Question 4

Question
Los grados RANKINE es considerado como un sistema:
Answer
  • ingles
  • métrico
  • numérico
  • gradual
  • ninguna

Question 5

Question
Cuantas clases de escala térmicas generalmente usamos;
Answer
  • 6
  • 3
  • 4
  • 2
  • Ninguna

Question 6

Question
Una lamina de cobre que se encuentra a 10° C, si lo dejamos al medio ambiente hasta llegar a una temperatura de 22° C, es de:
Answer
  • Convención
  • conducción
  • radiación
  • vaporización
  • Ninguno

Question 7

Question
Un vector tiene sus puntos de origen (O) y extremo (E); de simboliza al vector como;
Answer
  • (E)
  • (O-E)
  • (E-O)
  • (O)
  • ninguno

Question 8

Question
El modulo de un vector es igual a:
Answer
  • Al extremo
  • Al Origen
  • Al punto
  • A la Longitud
  • Ninguno

Question 9

Question
Los vectores coplanarios son aquellos que se encuentran en:
Answer
  • un mismo plano
  • En dos planos
  • En tres planos
  • En muchos planos
  • Ninguno

Question 10

Question
La luz se clasifica en:
Answer
  • luminosos y opacos
  • luminosa y trasparentes
  • luminosos e iluminados
  • iluminados y opacos
  • Ninguno

Question 11

Question
El cobalto Z= 27 tiene tres isótopos con 29,31 y 33 neutrones, los símbolos nucleares son:
Answer
  • a
  • b
  • c
  • d
  • e

Question 12

Question
Los electrones ocupan todos los espacios vacíos de un orbital antes de aparearse, este anunciado corresponde a:
Answer
  • Heisenberg
  • Bohr
  • Hund
  • Schrfidinger
  • pauli

Question 13

Question
En un mismo nivel de energía al incremento el numero atómico Z el radio atómico
Answer
  • Aumenta
  • no varia
  • disminuye
  • todas
  • ninguna

Question 14

Question
En la tabla periódica los elementos de transicion de las familias B ésta llenado el orbital:
Answer
  • s
  • p
  • d
  • f
  • ninguna

Question 15

Question
El elementos que tiene menor energía de lonización en la tabla periódica es:
Answer
  • flúor
  • hidrógeno
  • helio
  • francio
  • ninguna

Question 16

Question
En un nivel de energía el electrón se mueve en espacios formas, esto se lo conoce como :
Answer
  • Sub nivel de energía
  • orbital atómico
  • número cuántico
  • todas
  • ninguna

Question 17

Question
No puede existir en un átomo dos electrones con sus cuatro números cuánticos iguales, este anunciado corresponde a:
Answer
  • Dalton
  • pauli
  • bohr
  • lavoiser
  • ninguna

Question 18

Question
En una solución la concentración de oxidrilo es 10-⁴ el PH es:
Answer
  • 4
  • 7
  • 14
  • 10
  • ninguna

Question 19

Question
Cuando reacciona un metal con ácido clorhidrico se obtiene
Answer
  • Sal y agua
  • sal y ácido
  • Sal e hidrogeno
  • Sal y base
  • ninguna

Question 20

Question
Para el elemento Z= 24 la configuración electrónica:
Answer
  • a
  • b
  • c
  • d
  • ninguna

Question 21

Question
Simplificar la expresión
Answer
  • 5√5
  • 8√5
  • 4√5
  • 3√5
  • NA

Question 22

Question
Reducir la expresión
Answer
  • 26
  • 9
  • 3
  • 18
  • NA

Question 23

Question
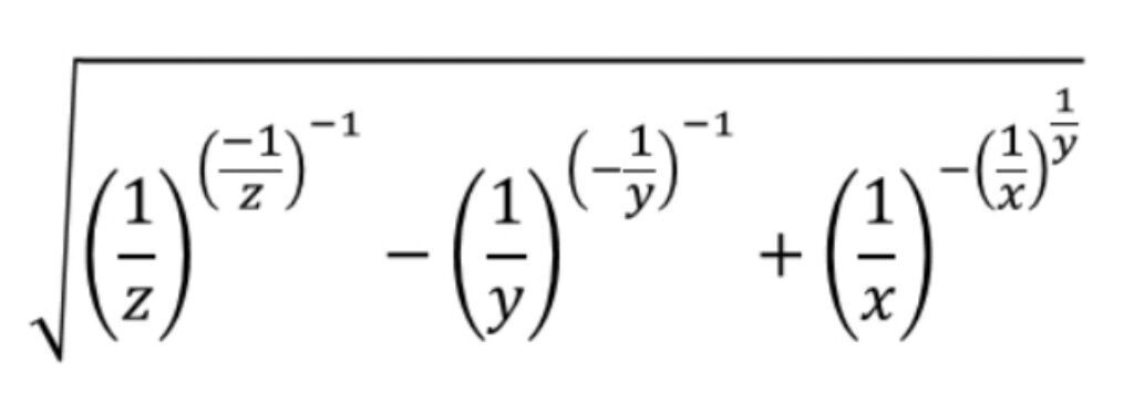
Encontrar el valor numérico de la expresión Par que X = 4 , y =2 , Z= 3.
Answer
  • 5
  • 36
  • 7
  • 15
  • NA

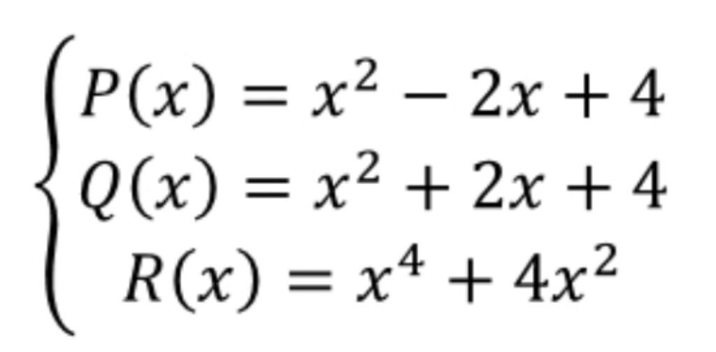
Question 24

Question
Dados los polinomios ? Determinar P (x) - Q (x) - R (x)
Answer
  • 16
  • 17
  • 18
  • 19
  • NA

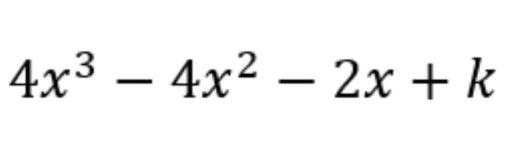
Question 25

Question
Encontrar el valor de K para el polinomio ? Sea divisible entre x + 1/2
Answer
  • 3/2
  • 5/2
  • 1/2
  • 7/2
  • NA

Question 26

Question
Dados los polinomios calcular ?
Answer
  • 5
  • -7
  • -10
  • 10
  • NA

Question 27

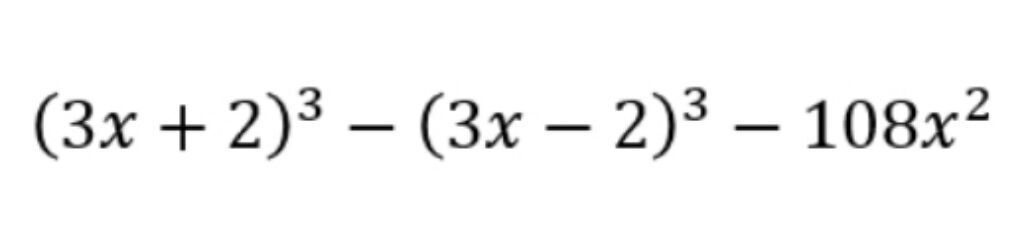
Question
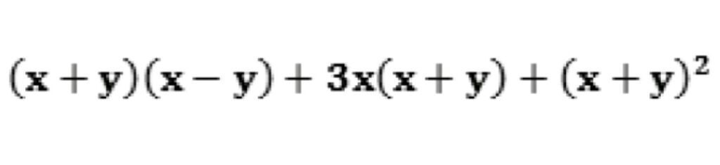
Desarrollar y simplificar
Answer
  • 25 x
  • 27 x
  • - 28 z
  • - 24 x
  • NA

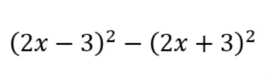
Question 28

Question
Desarrollar y simplificar
Answer
  • 16
  • 19
  • 18
  • 20
  • NA

Question 29

Question
Factorizar y simplificar
Answer
  • 6x ( a+b)
  • 7z (b-a)
  • 4x (a-b)
  • 9y (b-a)
  • NA

Question 30

Question
Factorizar y simplificar
Answer
  • 6 x ( x + y)
  • 8 x ( x + y )
  • 10 x ( x+y )
  • 5 x ( x + y )
  • NA

Question 31

Question
Diga como se llama la función del acento que sirve para poner de relieve las silabas acentuadas frente a las no acentuadas
Answer
  • contrastiva
  • distintiva
  • demarcativa
  • referencial
  • normativa

Question 32

Question
La primera unidad superior al fonema y que puede abarcar uno varios de ellos, se llama:
Answer
  • diptongo
  • hiato
  • triptongo
  • silaba
  • fonema

Question 33

Question
En una silaba la vocal que lleva la mayor intensidad de voz, se llama.
Answer
  • átona
  • tonica
  • abierta
  • cerrada
  • neutra

Question 34

Question
La separación silábica de una palabra esta mal incorrecta
Answer
  • a
  • b
  • c
  • d
  • e

Question 35

Question
Identifique la palabra que contiene triptongo
Answer
  • a
  • b
  • c
  • d
  • e

Question 36

Question
En uno de los incisos hay una palabra que se escribe con la letra "b"
Answer
  • a
  • b
  • c
  • d
  • e

Question 37

Question
La palabra " absolver" , significa.
Answer
  • a
  • b
  • c
  • d
  • e

Question 38

Question
En uno de los incisos hay una palabra se escribe con la letra " s"
Answer
  • a
  • b
  • c
  • d
  • e

Question 39

Question
Una de las siguientes palabras no se escribe con la letra " h "
Answer
  • a
  • b
  • c
  • d
  • e

Question 40

Question
En una de las oraciones hay un error ortografía
Answer
  • a
  • b
  • c
  • d
  • e
Show full summary Hide full summary

Similar