Dynamics of the Universe

Beschreibung

Astroparticle Physics Mindmap am Dynamics of the Universe, erstellt von eilisdaes am 16/06/2014.
eilisdaes
Mindmap von eilisdaes, aktualisiert more than 1 year ago
eilisdaes
Erstellt von eilisdaes vor mehr als 11 Jahre
19
1

Zusammenfassung der Ressource

Dynamics of the Universe
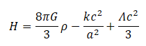
  1. Second Friedmann equation, Cosmological constant, Density Parameter, Solution of the Friedmann equations for some extreme cases, Cosmological redshift, Determintion of ΩV.
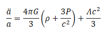
    1. 2nd Friedman Eq.
      1. a''/a = -4piG/3 (ro + 3P/c^2)
        1. A) Matter Dominated Unierse
          1. k = 0 flat universe
            1. Pressure of NR matter = 0
              1. ro = ro0 (a0/a)^3
                1. a'^2 = 8piG(a0^3)ro0 / 3a
                  1. a'(t=0) >0
                    1. a ~ t^2/3
                      1. Ro ~ 1/t^2
                        1. H ~1/t
                      2. B) Radiation Dominated Flat Universe
                        1. eq. Of state for a photon gas
                          1. ro ~ P = ro c^2 /3
                            1. Fluid eq. Ro' + 3H(ro + 1/3 ro) -> duro/ro = -4da/a
                              1. Ro ~ 1/ a^4
                                1. 1/a^3 dilution
                                  1. 1/a redshift
                                  2. H ~ 1/2t
                                    1. A radiation universe expands slower than a matter one
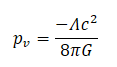
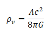
                          2. Cosmological Constant L
                            1. F. Equations can be derived from Einstein eq. using R.W.metric and the Energy Momentum tensor of an homogeneous fluid.
                              1. Modified F.eq.
                                    1. To recover originals
                                      1. Fluid eq. Not modified
                                      Zusammenfassung anzeigen Zusammenfassung ausblenden

                                      ähnlicher Inhalt