null
US
Anmelden
kostenlos registrieren
Registrieren
Wir haben festgestellt, dass Javascript in deinem Browser nicht aktiviert ist. Aufgrund des dynamischen Charakters unserer Website muss Javascript allerdings entsprechend aktiviert sein. Bitte lese dir unsere
Geschäftsbedingungen
durch, um mehr Informationen zu erhalten.
Nächster
Kopieren und bearbeiten
Sie müssen sich anmelden, um diese Aktion abzuschließen!
Kostenlos registrieren
24372385
COMBINATORIA
Beschreibung
Cómo elegir la fórmula adecuada para resolver un problema de combinatoria.
Keine Merkmale angegeben
fórmulas
matemáticas
4º de eso
Mindmap von
Hilda Guerrero Fernández
, aktualisiert more than 1 year ago
Mehr
Weniger
Erstellt von
Hilda Guerrero Fernández
vor mehr als 5 Jahre
78
0
0
Zusammenfassung der Ressource
COMBINATORIA
¿Importa el orden de los elementos del conjunto?
SI
¿Intervienen todos los elementos del conjunto?
SI
PERMUTACIONES
NO
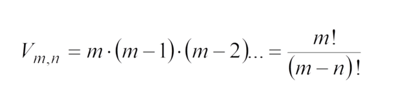
VARIACIONES
¿Se pueden repetir los elementos?
SI
VARIACIONES CON REPETICIÓN
NO
VARIACIONES SIN REPETICIÓN
NO
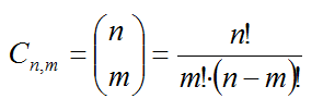
COMBINACIONES
Medienanhänge
Combinaciones sin repetición. (Einbetten)
10 Combinatoria. Variaciones ( Matemáticas 4 ESO) (Einbetten)
11 Combinatoria. Variaciones con repetición. ( Matemáticas 4 ESO) (Einbetten)
12 Combinatoria. Permutaciones (Matemáticas 4 ESO) (Einbetten)
Formula Combinaciones Sin (image/png)
Variaciones (image/png)
Varrep (image/gif)
Img3 (image/png)
Zusammenfassung anzeigen
Zusammenfassung ausblenden
Möchten Sie
kostenlos
Ihre eigenen
Mindmaps
mit GoConqr erstellen?
Mehr erfahren
.
ähnlicher Inhalt
Ecuaciones (Primer Grado)
Diego Santos
Fórmulas Geométricas (Perímetros)
Diego Santos
7 Técnicas para Aprender Matemáticas
maya velasquez
Matemáticasen la VidaCotidiana
Diego Santos
FRACCIONES...
JL Cadenas
FRACCIONES...
Ulises Yo
Factorización de expresiones algebraicas_1
Juan Beltran
CÁLCULOS con [ 3 · 5 · 7 ]
JL Cadenas
Preguntas del Pensamiento Matemático
Diego Santos
Factorización de Expresiones Algebráicas
maya velasquez
Matrices y Determinantes
Diego Santos
Bibliothek durchsuchen