Chapter P Quiz

Beschreibung

Quiz am Chapter P Quiz, erstellt von Harmony Richman am 12/06/2014.
Harmony Richman
Quiz von Harmony Richman, aktualisiert more than 1 year ago
Harmony Richman
Erstellt von Harmony Richman vor mehr als 11 Jahre
488
0

Zusammenfassung der Ressource

Frage 1

Frage
For real numbers a, b, and c, identify the property that is illustrated by (a + b)c = ac + bc.
Antworten
  • Distributive
  • Associative
  • Inverse

Frage 2

Frage
Factor: x^2 - 3x - 4
Antworten
  • (x + 1)(x - 4)
  • (x - 1)(x + 4)
  • (x - 2)(x + 2)

Frage 3

Frage
Factor: 4x^2 - 121
Antworten
  • (2x + 11)(2x + 11)
  • (2x - 11)(2x + 11)
  • (2x - 11)(2x - 11)

Frage 4

Frage
Factor: 6x^2 - 5x - 6
Antworten
  • (2x + 3)(3x - 2)
  • (2x - 3)(3x + 2)
  • (6x + 1)(x - 4)

Frage 5

Frage
Subtract
Antworten
  • 3x^3 - 4x^2 - 4x + 2
  • 5x^5 - 4x^2 - 12
  • 3x^3 - 4x^2 - 4x - 12

Frage 6

Frage
Multiply: (3a + 7b)(2a - 9b)
Antworten
  • 6a^2 + 13ab + 63b^2
  • 5a^2 - 13ab - 16b^2
  • 6a^2 - 13ab - 63b^2

Frage 7

Frage
Factor: 7x^2 + 34x - 5
Antworten
  • (3x + 5)(4x - 1)
  • (7x - 1)(x + 5)
  • (7x + 1)(x - 5)

Frage 8

Frage
Select all the appropriate answers: Subtract: (4 - 3i) - (2 - 5i)
Antworten
  • Subtract the whole number parts.
  • Subtract the complex number parts.
  • Combine the whole number parts with the complex number parts.
  • Simplified is: 2 + 2i
  • Simplified is: 2 - 8i

Frage 9

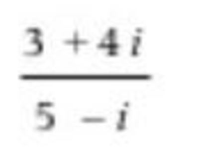
Frage
To simplify the problem in the picture you will multiply the numerator and denominator by the conjugate of the denominator?
Antworten
  • True
  • False
Zusammenfassung anzeigen Zusammenfassung ausblenden

ähnlicher Inhalt