null
US
Sign In
Sign Up for Free
Sign Up
We have detected that Javascript is not enabled in your browser. The dynamic nature of our site means that Javascript must be enabled to function properly. Please read our
terms and conditions
for more information.
Next up
Copy and Edit
You need to log in to complete this action!
Register for Free
9298003
ESQUEMA PERMUTACION COMBINACION
Description
ESQUEMA
No tags specified
ingeniería
Flowchart by
jose roman bueno de haro
, updated more than 1 year ago
More
Less
Created by
jose roman bueno de haro
over 8 years ago
30
0
0
Resource summary
Flowchart nodes
Realmente importa el orden de los elementos?
No en las combinaciones.
en este caso los siguientes elementos son aplicables
se puede repetir?
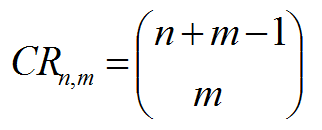
si combinaciones con repeticion
no combinacion con repeticion
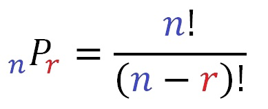
si permutaciones
no variaciones
en estos casos se puede repetir
en estos caso se puede repetir
si permutacion con repeticion
no permutaciones con sin repeticion
en ocaciones se utiliza combinacion con repeticion
en ocaciones no se utiliza combinacion con repeticion
Form+Permt+P (image/png)
Formula Comb Rep (image/png)
Combi Form (image/jpeg)
Var (image/gif)
Show full summary
Hide full summary
Want to create your own
Flowcharts
for
free
with GoConqr?
Learn more
.
Similar
INGENIERIA DE MATERIALES
Ricardo Álvarez
Elementos Básicos de Ingeniería Ambiental
Evilus Rada
Historia de la Ingeniería
Camila González
Introducción a la Ingeniería de Software
David Pacheco Ji
UNIDAD II DIBUJO PROYECTIVO
anyimartinezrued
GENERALIDADES DE LAS EDIFICACIONES
yessi.marenco17
MAPA MENTAL SOFTWARE APLICADOS EN INGENIERÍA CIVIL
Ruben Dario Acosta P
Examen Ingeniería Electromecánica II
Jorge Cabrera7516
Normas que Rigen la Ingenieria Mecanica
Francisco Balderas Garcia
Estado de la ingenería mecánica y su perspectiva a futuro
Roberto Martinez
MAPA CONCEPTUAL SOBRE LA INICIATIVA CDIO
Victor Antonio Rodriguez Castañeda
Browse Library