|
|
Creado por Athanasios Lapatinas
hace alrededor de 11 años
|
|
| Pregunta | Respuesta |
| Πείραμα (experiment) | είναι μία ενέργεια η οποία έχει ένα αποτέλεσμα και μπορεί, υπό τις ίδιες συνθήκες, να επαναληφθεί άπειρες φορές. Τα πειράματα διακρίνονται σε τυχαία και αιτιοκρατικά |
| Τυχαίο πείραμα (random experiment) | είναι εκείνο το οποίο μπορεί να μας οδηγήσει σε περισσότερα του ενός αποτελέσματα, χωρίς να είναι βέβαιο πιο από αυτά τελικώς θα πραγματοποιηθεί |
| Αιτιοκρατικό πείραμα | είναι εκείνο το πείραμα του οποίου το πραγματοποιηθέν αποτέλεσμα είναι με βεβαιότητα γνωστό |
| Δειγματοχώρος ή δειγματικός χώρος (sample space) | είναι το σύνολο των δυνατών αποτελεσμάτων ενός τυχαίου προβλήματος |
| Δειγματοσημεία ή δειγματικά σημεία (sample points) | είναι τα σημεία του δειγματοχώρου |
| ενδεχόμενο (event) | κάθε υποσύνολο του δειγματικού χώρου |
| Δενδροδιάγραμμα (tree diagram) | Γράφημα που βοηθά στην παρουσίαση των αποτελεσμάτων των πολλών σταδίων ενός τυχαίου πειράματος |
| συμπληρωματικό (του Α) ενδεχόμενο (complement of A) | Το ενδεχόμενο που αποτελείται απο τα στοιχεία του δειγματικού χώρου που δεν ανήκουν στο Α |
| Ένωση του Α και Β (Union of A and B) | Το ενδεχόμενο που περιέχει τα στοιχεία του Α ή του Β ή και των δύο |
| Τομή των Α και Β (intersection of A and B) | Το ενδεχόμενο που περιέχει τα στοιχεία που ανήκουν τόσο στο Α όσο και στο Β |
| Νόμος αθροίσματος (addition law) |
Image:
s1.PNG (image/PNG)
|
| Αμοιβαίως αποκλειόμενα ενδεχόμενα ή ασυμβίβαστα ή ξένα μεταξύ τους (Mutually exclusive events) | Τα ενδεχόμενα που δεν έχουν κοινά δειγματικά στοιχεία (η τομή τους είναι το κενό σύνολο) |
| Υπο συνθήκη πιθανότητα (conditional probability) |
Image:
s2.PNG (image/PNG)
|
| Ανεξάρτητα ενδεχόμενα (independent events) |
η πραγματοποίηση του ενός ενδεχομένου δεν επηρεάζει την πραγματοποίηση του άλλου
Image:
s3.PNG (image/PNG)
|
| Πολλαπλασιαστικός νόμος (multiplication law) |
Image:
s4.PNG (image/PNG)
|
| Πολλαπλασιαστικός νόμος για ανεξάρτητα ενδεχόμενα |
Image:
s5.PNG (image/PNG)
|
| Θεώρημα του Bayes |
Image:
s6.PNG (image/PNG)
|
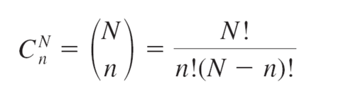
| Συνδυασμοί (combinations) |
Image:
s7.PNG (image/PNG)
|
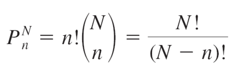
| Διατάξεις (permutations) |
Image:
s8.PNG (image/PNG)
|
¿Quieres crear tus propias Fichas gratiscon GoConqr? Más información.