|
|
Creado por sea_jayyyyy
hace casi 11 años
|
|
| Pregunta | Respuesta |
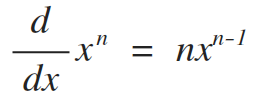
| Power Rule | |
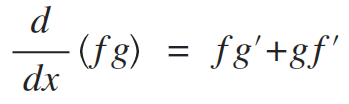
| Product Rule | |
| Quotient Rule | |
| Chain Rule | |
| Sine | |
| Cosine | |
| Tangent | |
| Secant | |
| Cosecant | |
| Cotangent | |
| Inverse Sine | |
| Inverse Cosine | |
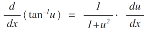
| Inverse Tangent | |
| Inverse Cotangent | |
| Inverse Secant | |
| Inverse Cosecant | |
| Natural Log |
¿Quieres crear tus propias Fichas gratiscon GoConqr? Más información.