formulas

Descripción

kpoiouj9
sebastian escoba5092
Fichas por sebastian escoba5092, actualizado hace más de 1 año
sebastian escoba5092
Creado por sebastian escoba5092 hace alrededor de 10 años
42
0

Resumen del Recurso

Pregunta Respuesta
formula : excentricidad
Formula: Pendiente de una recta
formula: cuadratica
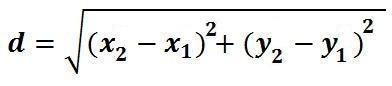
formula: distancia entre dos puntos
formula: Elipse
Formula: hiperbola
Mostrar resumen completo Ocultar resumen completo

Similar

Factorización de expresiones algebraicas_1
Juan Beltran
Factorización de expresiones algebraicas_2
Juan Beltran
Introducción al Álgebra
Tulio Herrera
Sucesiones Aritméticas
Elaine del Valle
FACTORIZACION DE POLINOMIOS
Faber Garcia
Derivadas
erendira.aviles
Aplicaciones de las derivadas
Marta Arroyo
EXAMEN DE MATEMÁTICAS 1ER GRADO SECUNDARIA 5to Bim
FELIPE SOLTERO
Test de Física - Selectividad
Virginia Vera
Ecuaciones Estadísticas
Diego Santos
Factorización de Expresiones Algebráicas
maya velasquez