Sequências numéricas

Descripción

Uma breve descrição de sequência, suas classificações e tipos.
Karina  Abreu
Fichas por Karina Abreu, actualizado hace más de 1 año
Karina  Abreu
Creado por Karina Abreu hace alrededor de 9 años
272
7

Resumen del Recurso

Pregunta Respuesta
SEQUÊNCIA Sequência é sucessão, encadeamento de fatos que se sucedem.
Exemplos no dia a dia Meses do ano ( Jan, fev. mar,......dez ) Fila indiana por ordem de tamanho. Ordem cronológica, dos anos da copa do mundo 1958, 1962, 1970, 1994 , 2002...2014)
SEQUÊNCIA NUMÉRICA Exemplo: • O conjunto ordenado (0, 2, 4, 6, 8, 10,...) é a sequência de números pares. • O conjunto ordenado (7, 9, 11, 13,15) é a sequência de números impares ≥ 7 e ≤ 15. • O conjunto ordenado (2, 10, 12, 16, 17, 18, 19, 200) é uma sequência de números que começa com a letra D.
CLASSIFICAÇÕES 1º) Sequências crescente: (10, 13, 20, 56,..) 2º) Sequências decrescente :(0,-5,-10,-15) 3º ) Sequências constante : (4,4,4,4,4,4,4,..) 4º) Sequências oscilante: (-1,2-3,-4,5,-6)
CLASSIFICAÇÕES Sequência finita, sua representação geral é (a1, a2, a3,..., an ). Para as sequências que são infinitas a representação geral é (a1, a2, a3, an, ... ).
Termo Geral de uma sequência A Lei de Formação ou Termo Geral é utilizada para calcular qualquer termo de uma sequência, expressa pela expressão: an = 2n + 3
Termos de uma sequência a1= 1º termo a2= 2º termo .......... an = n-ésimo termo
TIPOS DE SEQUÊNCIAS Progressões aritméticas ( P.A ) Progressões geométricas ( P.G )
Fórmula do termo geral da P.A.
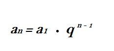
Fórmula do termo geral da P.G. an= termo geral a1= primeiro termo q= razão geométrica
Mostrar resumen completo Ocultar resumen completo

Similar

Tabuada
Alessandra S.
Matemática Básica
Alessandra S.
Geometria Plana
Bruno Fernandes3682
Como Estudar Matemática
Alessandra S.
Simulado de Matemática
Alessandra S.
Simulado Matemática
Marina Faria
Progressão Aritmética (P.A.)
claudiac_
Roteiro de Estudo - Matemática
Luiz Fernando
Plano de estudos ENEM - Parte 2 *Exatas/Biológicas
GoConqr suporte .
Geometria Plana Triângulo
Luiz Antonio Lopes
Matemática - Triângulos
Felipe Perreira