Problem and solutions connections

Descripción

Relacionar enunciados con sus soluciones algebraicas y gráficas.
rcarcelenr
Mapa Mental por rcarcelenr, actualizado hace más de 1 año
rcarcelenr
Creado por rcarcelenr hace alrededor de 10 años
13
0

Resumen del Recurso

Problem and solutions connections
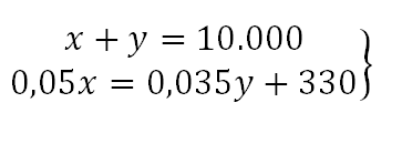
  1. Una persona invierte en un producto una cantidad de dinero, obteniendo un 5% de beneficio. Por otra inversión en un segundo producto, obtiene un beneficio del 3,5%. Sabiendo que en total invirtió 10 000 €, y que los beneficios de la primera inversión superan en 330 € a los de la segunda, ¿cuánto dinero invirtió en cada producto?
    1. A woman invests some money on a financial product, obtaining a 5% return. She invests on a second product and obtains a 3.5% return. If we know that she invested €10,000 altogether and that the return of her first investment is €330 higher than the second. How much did she invest on each product?
        1. Solution: first amount invested: €8,000 and second amount invested €2,000
        Mostrar resumen completo Ocultar resumen completo

        Similar

        Ecuaciones (Primer Grado)
        Diego Santos
        Derivadas
        erendira.aviles
        CÁLCULOS con [ 3 · 5 · 7 ]
        JL Cadenas
        Matrices y Determinantes
        Diego Santos
        Preguntas del Pensamiento Matemático
        Diego Santos
        Factorización de Expresiones Algebráicas
        maya velasquez
        Ensayo PSU Matemáticas
        Diego Santos
        Integrales Indefinidas
        Rupert012
        El número pi
        angel tamayo
        METODOS PARA RESOLVER ECUACIONES SIMULTANEAS
        José Juan Luna Ortega
        EL RINCÓN DE MATEMÁTICAS
        dolorstodoli