null
US
Iniciar Sesión
Regístrate Gratis
Registro
Hemos detectado que no tienes habilitado Javascript en tu navegador. La naturaleza dinámica de nuestro sitio requiere que Javascript esté habilitado para un funcionamiento adecuado. Por favor lee nuestros
términos y condiciones
para más información.
Siguiente
Copiar y Editar
¡Debes iniciar sesión para completar esta acción!
Regístrate gratis
8653479
Algoritmos para matrices y vectores.
Descripción
Analisis y diseño de algoritmos
Sin etiquetas
no está acabado
ingeniería
Mapa Mental por
Isa Cisneros Lpz
, actualizado hace más de 1 año
Más
Menos
Creado por
Isa Cisneros Lpz
hace más de 8 años
31
0
0
Resumen del Recurso
Algoritmos para matrices y vectores.
Multiplicación de matrices
Si A, B y C son matrices de orden nxn. Asumiendo que n es potencia exacta de 2, se puede dividir cada matriz en cuatro de orden n/2 y n/2.
Complejidad: O(mxnxr) = O(n^3)
Algoritmo de Strassen
Complejidad: T(n)= O(n^2.81)
Algoritmo LUP(A)
Descomposición LU
Consiste en descomponer una matriz en sus componentes triangular inferior (L) y superior (U).
Algoritmo LU(A)
Ejemplo
Ejemplo
Complejidad: T(n)= O (n^3)
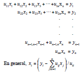
Solución de sistemas de ecuaciones
Algoritmo LUP Solve
Ejemplo
Complejidad: T(n)= O(n^2)
Forward substitution
Back substitution
Recursos multimedia adjuntos
Mult De Mat 1 (image/png)
M C (image/png)
A Y B (image/png)
Mult (image/png)
Strassen (image/png)
Strassen 2 (image/png)
Lu (image/png)
Desc Lu (image/png)
Ejemplo 1 (image/png)
Alu (image/png)
Lup 1 (image/png)
Lup 2 (image/png)
Lup 3 (image/png)
Lup Ejemplo (image/png)
Lup Ejemplo 2 (image/png)
Lup Ejemlo 3 (image/png)
Forward Substitution (image/png)
Back Sunstitution (image/png)
Lup Solve (image/png)
Lup Solve Ejemplo (image/png)
Lup Splve Ejemplo 2 (image/png)
Lup Solve Ejemplo 3 (image/png)
Mostrar resumen completo
Ocultar resumen completo
¿Quieres crear tus propios
Mapas Mentales
gratis
con GoConqr?
Más información
.
Similar
INGENIERIA DE MATERIALES
Ricardo Álvarez
Elementos Básicos de Ingeniería Ambiental
Evilus Rada
Historia de la Ingeniería
Camila González
Introducción a la Ingeniería de Software
David Pacheco Ji
UNIDAD II DIBUJO PROYECTIVO
anyimartinezrued
GENERALIDADES DE LAS EDIFICACIONES
yessi.marenco17
MAPA MENTAL SOFTWARE APLICADOS EN INGENIERÍA CIVIL
Ruben Dario Acosta P
Examen Ingeniería Electromecánica II
Jorge Cabrera7516
Normas que Rigen la Ingenieria Mecanica
Francisco Balderas Garcia
Estado de la ingenería mecánica y su perspectiva a futuro
Roberto Martinez
MAPA CONCEPTUAL SOBRE LA INICIATIVA CDIO
Victor Antonio Rodriguez Castañeda
Explorar la Librería