MATRICES Y DETERMINANTES

Description

Mind Map on MATRICES Y DETERMINANTES, created by andresfelipe_int on 08/10/2013.
andresfelipe_int
Mind Map by andresfelipe_int, updated more than 1 year ago
andresfelipe_int
Created by andresfelipe_int about 12 years ago
462
9

Resource summary

MATRICES Y DETERMINANTES
  1. MATRICES
    1. TIPOS
      1. MATRIZ NULA
        1. MATRIZ FILA
          1. MATRIZ COLUMNA
            1. MATRIZ CUADRADA
              1. Diagonal Primaria
                1. Traza de la Matriz: (1+5+0=6)
                2. Diagonal Secundaria
                  1. MATRICES ESPECIALES
                    1. Matriz Triangular Superior
                      1. Elementos Nulos por Debajo de la Diagonal
                      2. Matriz Triangular Inferior
                        1. Elementos Nulos por Encima de la Diagonal
                        2. Matriz Diagonal
                          1. Matriz Unidad o Identidad
                      3. OPERACIONES CON MATRICES
                        1. Suma y Diferencia
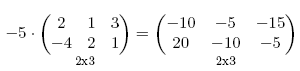
                          1. Producto X Numero Real
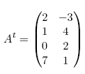
                            1. Trasposicion de Matrices
                              1. Matriz Inversa
                            2. GRAFO
                              1. Matriz de Adyacencia
                              2. DETERMINANTES
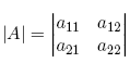
                                1. Determinante 2x2
                                  1. Determinante 3x3
                                    1. Determinante 4x4x
                                      1. REGLA DE SARRUS
                                      Show full summary Hide full summary

                                      Similar

                                      Vocabulario Inglés - Tema 2
                                      tanianicolasizqu
                                      Apuntes de Literatura española S. XX - Narrativa del 98.
                                      María Salinas
                                      mitosis y meiosis
                                      juan perez
                                      La celula
                                      juan perez
                                      Tema 4 - Inecuaciones
                                      elena.moreno
                                      Examen tipo test
                                      Laura Antich Homar
                                      Fichas geologia
                                      Felix Rimón Martínez
                                      REALISMO Y NATURALISMO
                                      Alba Gil B.
                                      Reported Speech (I): Statements
                                      D. D.
                                      Matrices y Determinantes
                                      Diego Santos
                                      3-ESPERPENTO EN LdB
                                      Gonzalo Sancho Sanz