null
US
Sign In
Sign Up for Free
Sign Up
We have detected that Javascript is not enabled in your browser. The dynamic nature of our site means that Javascript must be enabled to function properly. Please read our
terms and conditions
for more information.
Next up
Copy and Edit
You need to log in to complete this action!
Register for Free
6008493
Física:Mecânica:Cinemática
Description
Cinemática
No tags specified
cinemática
fisica
mecanica
fisica
enem
Mind Map by
Matheus Vitali
, updated more than 1 year ago
More
Less
Created by
Matheus Vitali
over 9 years ago
62
0
0
Resource summary
Física:Mecânica:Cinemática
Movimento Retilíneo MRU
Modulo, Direção e Sentido
Uniforme
Annotations:
Modulo:Constate Aceleração:nula
Uniformemente Variado MRUV
Annotations:
Velocidade aumentando ou diminuindo uniformemente ACELERAÇÃO CONSTANTE E NÃO NULA
Relação Posição e Tempo
Velocidade e Posição
Annotations:
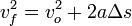
Torricelli
Velocidade e Tempo
Movimento de Queda Livre
Annotations:
são as mesmas formular de movimento uniformemente variado de forma simplificada
V=a.t V²=gt²/2 S=gt²/2
Lançamento horizontal Ou Obliquo
Annotations:
São 2 movimentos que acontecem ao mesmo tempo,sendo eles MRU na horizontal e MRUV na Vertical
!Analisar movimentos separadamente!
Media attachments
94e00d66-c433-40d0-a31d-1ab993976400 (image/png)
484371bd-fd35-4c29-83b6-5428e0b5f3e2 (image/png)
76620f0f-e326-4e94-9038-97c214747393 (image/png)
bc38be7a-1f8d-4fc5-a16a-c2bef8736e60 (image/jpg)
20c86b3d-955c-41cd-9c45-8996eab32570 (image/png)
5ef484f4-0d0f-4765-8c84-88efd5dc3262 (image/png)
Show full summary
Hide full summary
Want to create your own
Mind Maps
for
free
with GoConqr?
Learn more
.
Similar
Cinemática Escalar: Conceitos fundamentais
Bruno Fernandes3682
Cinemática
Hugo Fonseca
Queda livre
ana_santos_1_
Cinemática- Velocidade Média
Sara Leal
Distância, Velocidade, Tempo
Hugo Fonseca
Leis de Newton.
GoConqr suporte .
Fórmulas de física
Alessandra S.
Física moderna
GoConqr suporte .
Plano de estudos ENEM - Parte 2 *Exatas/Biológicas
GoConqr suporte .
ÁTOMO
Hugo Fonseca
Oscilações, ondas, óptica e radiação
Sem Parar
Browse Library