TERMODINÁMICA

Description

Mind Map on TERMODINÁMICA, created by Carlos Rodríguez on 09/11/2016.
Carlos Rodríguez
Mind Map by Carlos Rodríguez, updated more than 1 year ago
Carlos Rodríguez
Created by Carlos Rodríguez over 9 years ago
1
0

Resource summary

TERMODINÁMICA
  1. PRIMER PARCIAL
    1. 1.Conceptos fundamentales
      1. TERMODINÁMICA
        1. Es la rama de la física que hace foco en el estudio de los vínculos existentes entre el calor y las demás variedades de energía.
            1. ETIMOLOGÍA
              1. ICO
                1. Viene a definirse como RELATIVO A
                2. DINAMOS
                  1. Viene a definirse como FUERZA
                  2. THERMOS
                    1. Viene a definirse como CALIENTE
                  3. SISTEMA TERMODINÁMICO
                    1. PROCESO TERMODINÁMICO
                      1. FRONTERA:
                    2. TEMPERATURA
                      1. Es una magnitud física que refleja la cantidad de calor relacionada con su energía interior
                      2. CALOR
                        1. Es la energía intercambiada entre un cuerpo y el medio que lo rodea
                        2. ESTADOS DE EQULIBRIO
                          1. Ocurre cuando las variables de presión, temperatura y volumen no cambian
                          2. UNIDADES Y DIMENCIONES
                            1. Unidad: definición operacional
                              1. Dimensión: nombre de cantidades físicas
                              2. SISTEMA DE UNIDADES
                                1. Un sistema de unidades es un conjunto de unidades de medida consistente, normalizado y uniforme
                                  1. SISTEMA INTERNACIONAL
                                    1. es el sistema más moderno y más usado en la actualidad
                                    2. SISTEMA MÉTRICO-DECIMAL
                                      1. primer sistema unificado de medidas
                                      2. SISTEMA CEGESIMAL
                                        1. denominado así porque sus unidades básicas son el centímetro, el gramo y el segundo
                                        2. SISTEMA NATURAL
                                          1. en el cual las unidades se escogen de forma que ciertas constantes físicas valgan exactamente la unidad
                                          2. SISTEMA TÉCNICO
                                            1. derivado del sistema métrico con unidades del anterior. Este sistema está en desuso
                                            2. SISTEMA ANGLOSAJON
                                              1. fue normalizado en los Estados Unidos, con algunas diferencias sobre el Sistema Imperial
                                        3. 2.Transferencia de calor
                                          1. La transferencia de calor es la ciencia que busca predecir la transferencia de energía que tiene lugar entre cuerpos, como resultado de una diferencia de temperatura. La termodinámica enseña que esta transferencia de energía se define como calor
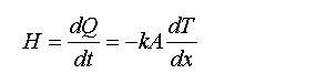
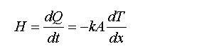
                                            1. CONDUCCIÓN
                                              1. La conducción es el mecanismo de transferencia de calor en escala atómica a través de la materia por actividad molecular, por el choque de unas moléculas con otras, donde las partículas más energéticas le entregan energía a las menos energéticas, produciéndose unflujo decalor desde las temperaturasmásaltas a lasmás bajas
                                                  1. donde k (en W/mK) se llama conductividad térmica del material, magnitud que representa la capacidad con la cual la sustancia conduce calor y produce la consiguiente variación de temperatura; y dT/dx es el gradiente de temperatura
                                              2. CONVECCIÓN
                                                1. Es el mecanismo de transferencia de calor por movimiento de masa o circulación dentro de la sustancia. Puede ser natural producida solo por las diferencias de densidades de la materia; o forzada, cuando la materia es obligada a moverse de un lugar a otro, por ejemplo el aire con un ventilador o el agua con una bomba. Sólo se produce en líquidos y gases donde los átomos y moléculas son libres de moverse en el medio
                                                  1. H = h A (TA –T)
                                                    1. donde h se llama coeficiente de convección, en W/(m2K), A es la superficie que entrega calor con una temperatura TA al fluido adyacente, que se encuentra a una temperatura T, como se muestra en el esquema
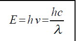
                                                2. RADIACIÓN
                                                  1. Es energía emitida por la materia que se encuentra a una temperatura dada, se produce directamente desde la fuente hacia afuera en todas las direcciones. Esta energía es producida por los cambios en las configuraciones electrónicas de los átomos o moléculas constitutivos y transportada por ondas electromagnéticas o fotones, por lo recibe el nombre de radiación electromagnética
                                                      1. donde h se llama constante de Planck, su valor es h = 6,63 x 10-34 Js
                                            Show full summary Hide full summary

                                            Similar

                                            Segunda Ley de la Termodinámica
                                            Virginia León
                                            Termodinámica
                                            Polett Quiñones
                                            TERMODINÁMICA
                                            jonathan.estevez
                                            Termodinámica
                                            Brenda De la Vega
                                            PRESIÓN
                                            Fh Elly
                                            Segunda Ley de la Termodinámica
                                            Leben Tod
                                            TERMODINAMICA
                                            Antonio Espinoza
                                            primera ley de la termodinamica
                                            oscar javier bustos rodriguez
                                            SUSTANCIAS PURAS
                                            ing.luisamora
                                            Refrigeración
                                            ROCIO CORDOVA
                                            CONCEPTOS BASICOS DE TERMODINAMICA
                                            Henry Sosa Pinilla