null
US
Sign In
Sign Up for Free
Sign Up
We have detected that Javascript is not enabled in your browser. The dynamic nature of our site means that Javascript must be enabled to function properly. Please read our
terms and conditions
for more information.
Next up
Copy and Edit
You need to log in to complete this action!
Register for Free
6314362
EFECTO DOPPLER
Description
efecto doppler mapa mental
No tags specified
matematicas
problemas de aplicacion
Mind Map by
juliana quenoran
, updated more than 1 year ago
More
Less
Created by
juliana quenoran
over 9 years ago
7
0
0
Resource summary
EFECTO DOPPLER
consiste.
es un fenómeno físico donde un aparente cambio de frecuencia de onda es presentado por una fuente de sonido con respecto a su observador cuando esa misma fuente se encuentra en movimiento.
casos
caso 1
caso 2
caso 3
caso 4
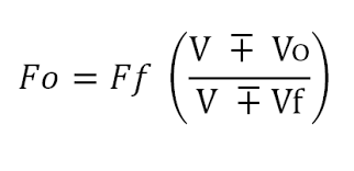
FORMULA
EN LA VIDA COTIDIANA
Media attachments
d75f486d-532e-4e16-89cc-935e74769039.gif (image/gif)
e4612427-bd50-46e0-b6ce-a8ff4e7cb122.gif (image/gif)
9c606a71-3738-4616-af61-8a27d8f8d3b8.gif (image/gif)
482f8c03-f22d-423b-b7d8-dcdeab2257ed.gif (image/gif)
b0a14d1d-078c-470d-99f0-83b5378ccefd (image/png)
6d8e901a-e7ff-44c1-ae7e-9e11642b2ba1 (image/jpg)
3ce8a36c-df32-4970-9d90-e832d1042680 (image/jpg)
97774d85-5e18-43b8-8f90-1077d983418b (image/jpg)
97899d7e-031b-4b19-88a4-9854ac41438b (image/jpg)
dfd4127d-ac42-4e91-9912-05db3655de29 (image/jpg)
d8e2058a-5614-494c-bd8c-8af2c212178a (image/jpg)
Show full summary
Hide full summary
Want to create your own
Mind Maps
for
free
with GoConqr?
Learn more
.
Similar
Ecuaciones (Primer Grado)
Diego Santos
Fórmulas Geométricas (Perímetros)
Diego Santos
7 Técnicas para Aprender Matemáticas
maya velasquez
Matemáticasen la VidaCotidiana
Diego Santos
FRACCIONES...
JL Cadenas
FRACCIONES...
Ulises Yo
Factorización de expresiones algebraicas_1
Juan Beltran
CÁLCULOS con [ 3 · 5 · 7 ]
JL Cadenas
Preguntas del Pensamiento Matemático
Diego Santos
Factorización de Expresiones Algebráicas
maya velasquez
Matrices y Determinantes
Diego Santos
Browse Library