INSERCIÓN DE NODO

Description

MAPA MENTAL
DANIEL GARCIA ROMERO
Mind Map by DANIEL GARCIA ROMERO, updated more than 1 year ago
DANIEL GARCIA ROMERO
Created by DANIEL GARCIA ROMERO over 9 years ago
9
0

Resource summary

INSERCIÓN DE NODO
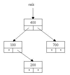
  1. Para administrar un árbol binario ordenado debemos tener especial cuidado en la inserción. Inicialmente el árbol está vacío, es decir raíz apunta a NULL:
    1. Insertamos el 400
      1. Insertamos el valor 100. Debemos analizar si raíz es distinto a NULL verificamos si 100 es mayor o menor a la información del nodo apuntado por raíz, en este caso es menor y como el subárbol izquierdo es NULL debemos insertarlo allí.
        1. Insertamos el 200. Hay que tener en cuenta que siempre comenzamos las comparaciones a partir de raíz. El 200 es menor que 400, descendemos por el subárbol izquierdo. Luego analizamos y vemos que el 200 es mayor a 100, debemos avanzar por derecha. Como el subárbol derecho es NULL lo insertamos en dicha posición.
          1. Insertamos el 700 y el árbol será:
            1. Como podemos observar si cada vez que insertamos un nodo respetamos este algoritmo siempre estaremos en presencia de un árbol binario ordenado. Posteriormente veremos el algoritmo en C++ para la inserción de información en el árbol.
              Show full summary Hide full summary

              Similar

              Diapositivas de Diseño gráfico, evolución y tendencias
              Samantha Molina Vega
              Diseño gráfico, evolución y tendencias - APUNTE
              escandoncb
              Diseño gráfico, evolución y tendencias
              Samantha Molina Vega
              PRESENTACIÓN EN GOCONR
              weownthenigh
              Eliminacion de un nodo
              LUIS FERNANDO RUIZ GARCIA
              test de Diseño gráfico, evolución y tendencias
              Samantha Molina Vega
              Notación algoritmica
              Jenni' Burbujeante
              factores culturales que afectan las operaciones de los negocios internacionales
              JOHANA HERNANDEZ
              EL LIBRO Y SUS PARTES
              A14N 3URT0N
              Técnicas de recopilación.
              onlyhyuk8
              Diapositivas de Correcion y edicion de fotografia
              efrainska