null
US
Sign In
Sign Up for Free
Sign Up
We have detected that Javascript is not enabled in your browser. The dynamic nature of our site means that Javascript must be enabled to function properly. Please read our
terms and conditions
for more information.
Next up
Copy and Edit
You need to log in to complete this action!
Register for Free
6754583
ECUACIONES DIFERENCIALES
Description
xdfsd
No tags specified
español
undécimo
Mind Map by
Nauj Amlap
, updated more than 1 year ago
More
Less
Created by
Nauj Amlap
over 9 years ago
11
0
0
Resource summary
ECUACIONES DIFERENCIALES
HOMOGENEAS
M(x,y)dx+N(x,y)dy=0
Es homogenea si los coeficientes son del mismo grado
Por inspección
Annotations:
t(a la n)f(xy)
Attachments:
ECUACIONES DIFERENCIALES
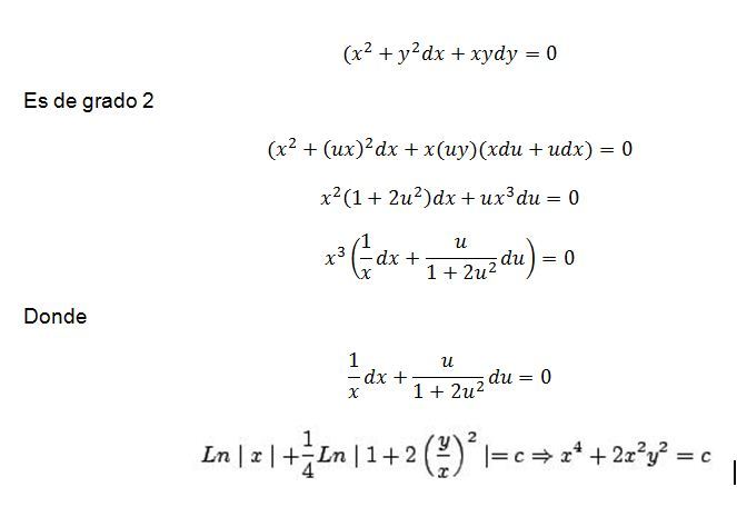
Ejemplo
NO HOMOGENEAS
Un valor de la constante c distinto de cero es lo que se hace llamar no homogenea
Ejemplo
Media attachments
b6562003-8157-4b80-9159-6f1a4e9bcaa4.JPG (image/JPG)
0e348383-b59d-4b5a-b4cd-76c1c83cedd6.JPG (image/JPG)
efd98296-c3a3-4398-8eec-d2ee0a6e46f5.JPG (image/JPG)
e3897e8c-60e9-4ee7-906d-5e6d41b565bf.JPG (image/JPG)
Show full summary
Hide full summary
Want to create your own
Mind Maps
for
free
with GoConqr?
Learn more
.
Similar
ESPAÑOL I
NEMORIO GARCIA GARCES
GED en Español: Todo lo que necesitas saber
Diego Santos
PALABRAS A-...
JL Cadenas
Competencias Comunicativas del Español: Estructura de la Lengua
Raúl Fox
Ortografía
Lenah Sanz
Nombres propios: Diptongo e hiato
Silvia Rial Martínez
Examen ISTQB Español Fundation Level
areli fm
Construcciones fijas del español
(E)Natalia Arias Roman
APLICACION DE LAS ECUACIONES DIFERENCIALES EN LA VIDA DIARIA
Jorge Ivan Astud
Teatro español de 1939 a 1975
Yoli Piña
PALABRAS QUE INICIAN Y TERMINAN CON VOCAL
Angello Amadosier
Browse Library