subprogramas

Descrição

FlashCards sobre subprogramas, criado por adan de santiago avalos em 23-09-2016.
adan de santiago avalos
FlashCards por adan de santiago avalos, atualizado more than 1 year ago
adan de santiago avalos
Criado por adan de santiago avalos mais de 9 anos atrás
29
3

Resumo de Recurso

Questão Responda
IPP investigacion de presencia de patrones
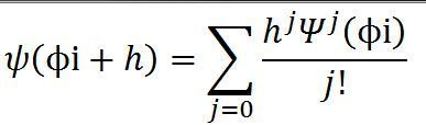
serie de taylor función univariable
uso serie taylor función univariable permite predecir un nuevo valor de la función a partir de un valor previo de la misma función
concepto banco inteligente de información sistema que captura, conserva y recupera información explicita originalmente proporcionada, como info implícita o virtualmente comprendida en la explicita
serie maclawrin funcion univariable
serie exponencial

Semelhante

Primeros conceptos
adan de santiago avalos