Matrices y Determinantes

Descrição

Universitario Álgebra (Matrices y determinantes) FlashCards sobre Matrices y Determinantes, criado por Victor Rodriguez em 08-06-2014.
Victor Rodriguez
FlashCards por Victor Rodriguez, atualizado more than 1 year ago
Victor Rodriguez
Criado por Victor Rodriguez mais de 11 anos atrás
535
14

Resumo de Recurso

Questão Responda
Una matriz A de orden m x n
Nomenclatura
Operaciones con matrices 1.-Igualdad 2.-Suma 3.-Producto por un escalar 4.-Producto de matrices
Transposición de matrices
Tipos de matrices cuadradas 1.-Diagonal, escalar, matriz identidad 2.-Matriz triangular 3.-Matriz simétrica 4.-Matriz regular o invertible 5.-Matriz ortogonal
Diagonal, escalar, matriz identidad
Matriz triangular
Matriz simétrica
Matriz regular o invertible
Matriz ortogonal
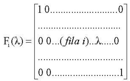
Matrices elementales: Primer tipo
Matrices elementales: Segundo tipo
Matrices elementales: Tercer tipo
Matrices Equivalentes
Semejanza y congruencia
Teorema de la matriz escalonada
Rango de una matriz
Cálculo de la inversa usando matrices elementales.
Determinante de una matriz cuadrada
Otras propiedades de los determinantes
Menor complementario
Cálculo de determinantes mediante operaciones elementales. Si A es una matriz triangular det A se obtiene multiplicando los elementos de su diagonal principal. Un procedimiento práctico para el cálculo de determinantes consiste en realizar operaciones elementales con las filas o con las columnas de una matriz para ir reduciendo el orden paulatinamente.
Otra definición de rango de una matriz Si en una matriz cualquiera se suprimen filas y columnas de forma que resulte una matriz cuadrada de orden r, al determinante de dicha matriz se le llama menor de orden r de la matriz A. Se puede probar, aunque no vamos a hacerlo aquí, que rango de A, es también el orden del mayor de los menores no nulos de dicha matriz.

Semelhante

Factorización de Expresiones Algebráicas
maya velasquez
ESTRUCTURAS ALGEBRAICAS
David Hdez
Factorización de expresiones algebraicas_1
Juan Beltran
Factorización de expresiones algebraicas_2
Juan Beltran
CÁLCULOS con [ 3 · 5 · 7 ]
JL Cadenas
Preguntas del Pensamiento Matemático
Diego Santos
Ensayo PSU Matemáticas
Diego Santos
Derivadas
erendira.aviles
Integrales Indefinidas
Rupert012
El número pi
angel tamayo
EL RINCÓN DE MATEMÁTICAS
dolorstodoli