Conhecimentos Numéricos

Description

Questões retiradas do enem, abortando o seguinte tópico.
Sem Parar
Quiz by Sem Parar, updated more than 1 year ago
Sem Parar
Created by Sem Parar over 10 years ago
85
4

Resource summary

Question 1

Question
José, Carlos e Paulo devem transportar em suas bicicletas uma certa quantidade de laranjas. Decidiram dividir o trajeto a ser percorrido em duas partes, sendo que ao final da primeira parte eles redistribuiriam a quantidade de laranjas que cada um carregava dependendo do cansaço de cada um. Na primeira parte do trajeto José, Carlos e Paulo dividiram as laranjas na proporção \(6\) : \(5\) : \(4\), respectivamente. Na segunda parte do trajeto José, Carlos e Paulo dividiram as laranjas na proporção \(4\) : \( 4\) : \(2\), respectivamente. Sabendo-se que um deles levou \(50\) laranjas a mais no segundo trajeto, qual a quantidade de laranjas que José, Carlos e Paulo, nessa ordem, transportaram na segunda parte do trajeto?
Answer
  • \(600\), \(550\), \(350\)
  • \(300\), \(300\), \(150\)
  • \(300\), \(250\), \(200\)
  • \(200\), \(200\), \(100\)
  • \(100\), \(100\), \(50\)

Question 2

Question
Arthur deseja comprar um terreno de Cléber, que lhe oferece as seguintes possibilidades de pagamento: • Opção 1: Pagar à vista, por \(R\$\, 55 000,00\); • Opção 2: Pagar a prazo, dando uma entrada de \(R\$\, 30 000,00\), e mais uma prestação de \(R\$\, 26 000,00\) para dali a \(6\) meses. • Opção 3: Pagar a prazo, dando uma entrada de \(R\$\, 20 000,00\), mais uma prestação de \(R\$\, 20 000,00\), para dali a \(6\) meses e outra de \(R\$\, 18 000,00\) para dali a \(12\) meses da data da compra. • Opção 4: Pagar a prazo dando uma entrada de \(R\$\, 15 000,00\) e o restante em \(1\) ano da data da compra, pagando \(R\$\, 39 000,00\). • Opção 5: pagar a prazo, dali a um ano, o valor de \(R\$\, 60 000,00\). Arthur tem o dinheiro para pagar à vista, mas avalia se não seria melhor aplicar o dinheiro do valor à vista (ou até um valor menor) em um investimento, com rentabilidade de \(10\%\) ao semestre, resgatando os valores à medida que as prestações da opção escolhida fossem vencendo. Após avaliar a situação do ponto de vista financeiro e das condições apresentadas, Arthur concluiu que era mais vantajoso financeiramente escolher a opção
Answer
  • \(1\).
  • \(2\).
  • \(3\).
  • \(4\).
  • \(5\).

Question 3

Question
A capacidade mínima, em \(BTU/h\), de um aparelho de ar-condicionado, para ambientes sem exposição ao sol, pode ser determinada da seguinte forma: • \(600 BTU/h\) por \(m_{2}\), considerando-se até duas pessoas no ambiente; • para cada pessoa adicional nesse ambiente, acrescentar \(600 BTU/h\); • acrescentar mais \(600 BTU/h\) para cada equipamento eletroeletrônico em funcionamento no ambiente. Será instalado um aparelho de ar-condicionado em uma sala, sem exposição ao sol, de dimensões \(4 m\, \times\, 5 m\), em que permaneçam quatro pessoas e possua um aparelho de televisão em funcionamento. A capacidade mínima, em \(BTU/h\), desse aparelho de ar condicionado deve ser
Answer
  • \(12 000\).
  • \(12 600\).
  • \(13 200\).
  • \(13 800\).
  • \(15 000\).

Question 4

Question
A resistência mecânica \(S\) de uma viga de madeira, em forma de um paralelepípedo retângulo, é diretamente proporcional à sua largura (\(b\)) e ao quadrado de sua altura (\(d\)) e inversamente proporcional ao quadrado da distância entre os suportes da viga, que coincide com o seu comprimento (\(x\)), conforme ilustra a figura. A constante de proporcionalidade \(k\) é chamada de resistência da viga. A expressão que traduz a resistência \(S\) dessa viga de madeira é
Answer
  • \(S = k\times b\times \frac{d^2}{x^2}\)
  • \(S = k\times b\times \frac{d}{x^2}\)
  • \(S = k\times b\times \frac{d^2}{x}\)
  • \(S = k\times b^2 \times \frac{d}{x}\)
  • \(S = k\times b\times \frac{2d}{2x}\)

Question 5

Question
O diretor de uma escola convidou os \(280\) alunos de terceiro ano a participarem de uma brincadeira. Suponha que existem \(5\) objetos e \(6\) personagens numa casa de \(9\) cômodos; um dos personagens esconde um dos objetos em um dos cômodos da casa. O objetivo da brincadeira é adivinhar qual objeto foi escondido por qual personagem e em qual cômodo da casa o objeto foi escondido. Todos os alunos decidiram participar. A cada vez um aluno é sorteado e dá a sua resposta. As respostas devem ser sempre distintas das anteriores, e um mesmo aluno não pode ser sorteado mais de uma vez. Se a resposta do aluno estiver correta, ele é declarado vencedor e a brincadeira é encerrada. O diretor sabe que algum aluno acertará a resposta porque há
Answer
  • \(10\) alunos a mais do que possíveis respostas distintas.
  • \(20\) alunos a mais do que possíveis respostas distintas.
  • \(119\) alunos a mais do que possíveis respostas distintas.
  • \(260\) alunos a mais do que possíveis respostas distintas.
  • \(270\) alunos a mais do que possíveis respostas distintas.

Question 6

Question
Os hidrômetros são marcadores de consumo de água em residências e estabelecimentos comerciais. Existem vários modelos de mostradores de hidrômetros, sendo que alguns deles possuem uma combinação de um mostrador e dois relógios de ponteiro. O número formado pelos quatro primeiros algarismos do mostrador fornece o consumo em \(m^3\), e os dois últimos algarismos representam, respectivamente, as centenas e dezenas de litros de água consumidos. Um dos relógios de ponteiros indica a quantidade em litros, e o outro em décimos de litros, conforme ilustrados na figura a seguir. Considerando as informações indicadas na figura, o consumo total de água registrado nesse hidrômetro, em litros, é igual a
Answer
  • \(3\, 534,85\).
  • \(3\, 544,20\).
  • \(3\, 534\, 850,00\).
  • \(3\, 534\, 859,35\).
  • \(3\, 534\, 850,39\).

Question 7

Question
Jogar baralho é uma atividade que estimula o raciocínio. Um jogo tradicional é a Paciência, que utiliza \(52\) cartas. Inicialmente são formadas sete colunas com as cartas. A primeira coluna tem uma carta, a segunda tem duas cartas, a terceira tem três cartas, a quarta tem quatro cartas, e assim sucessivamente até a sétima coluna, a qual tem sete cartas, e o que sobra forma o monte, que são as cartas não utilizadas nas colunas. A quantidade de cartas que forma o monte é
Answer
  • \(21\).
  • \(24\).
  • \(26\).
  • \(28\).
  • \(31\).

Question 8

Question
Um maquinista de trem ganha \(R\$\, 100,00\) por viagem e só pode viajar a cada \(4\) dias. Ele ganha somente se fizer a viagem e sabe que estará de férias de \(1^{\circ}\) a \(10\) de junho, quando não poderá viajar. Sua primeira viagem ocorreu no dia primeiro de janeiro. Considere que o ano tem \(365\) dias. Se o maquinista quiser ganhar o máximo possível, quantas viagens precisará fazer?
Answer
  • \(37\)
  • \(51\)
  • \(88\)
  • \(89\)
  • \(91\)

Question 9

Question
João decidiu contratar os serviços de uma empresa por telefone através do SAC (Serviço de Atendimento ao Consumidor). O atendente ditou para João o número de protocolo de atendimento da ligação e pediu que ele anotasse. Entretanto, João não entendeu um dos algarismos ditados pelo atendente e anotou o número \(1 3 __ 9 8 2 0 7\), sendo que o espaço vazio é o do algarismo que João não entendeu. De acordo com essas informações, a posição ocupada pelo algarismo que falta no número de protocolo é a de
Answer
  • centena.
  • dezena de milhar.
  • centena de milhar.
  • milhão.
  • centena de milhão.

Question 10

Question
Uma mãe recorreu à bula para verificar a dosagem de um remédio que precisava dar a seu filho. Na bula, recomendava-se a seguinte dosagem: \(5\) gotas para cada \(2 kg\) de massa corporal a cada \(8\) horas. Se a mãe ministrou corretamente \(30\) gotas do remédio a seu filho a cada \(8\) horas, então a massa corporal dele é de
Answer
  • \(12 kg\).
  • \(16 kg\).
  • \(24 kg\).
  • \(36 kg\).
  • \(75 kg\).

Question 11

Question
Nos shopping centers costumam existir parques com vários brinquedos e jogos. Os usuários colocam créditos em um cartão, que são descontados por cada período de tempo de uso dos jogos. Dependendo da pontuação da criança no jogo, ela recebe um certo número de tíquetes para trocar por produtos nas lojas dos parques. Suponha que o período de uso de um brinquedo em certo shopping custa \(R\$\, 3,00\) e que uma bicicleta custa \(9 200\) tíquetes. Para uma criança que recebe \(20\) tíquetes por período de tempo que joga, o valor, em reais, gasto com créditos para obter a quantidade de tíquetes para trocar pela bicicleta é
Answer
  • \(153\).
  • \(460\).
  • \(1 218\).
  • \(1 380\).
  • \(3 066\).

Question 12

Question
Dentre outros objetos de pesquisa, a Alometria estuda a relação entre medidas de diferentes partes do corpo humano. Por exemplo, segundo a Alometria, a área \(A\) da superfície corporal de uma pessoa relaciona-se com a sua massa \(m\) pela fórmula \(A = k\times m^{2/3}\) em que \(k\) é uma constante positiva. Se no período que vai da infância até a maioridade de um indivíduo sua massa é multiplicada por \(8\), por quanto será multiplicada a área da superfície corporal?
Answer
  • \(\sqrt[3]{16}\)
  • \(4\)
  • \(\sqrt{24}\)
  • \(8\)
  • \(64\)

Question 13

Question
Há, em virtude da demanda crescente de economia de água, equipamentos e utensílios como, por exemplo, as bacias sanitárias ecológicas, que utilizam \(6\) litros de água por descarga em vez dos \(15\) litros utilizados por bacias sanitárias não ecológicas, conforme dados da Associação Brasileira de Normas Técnicas (ABNT). Qual será a economia diária de água obtida por meio da substituição de uma bacia sanitária não ecológica, que gasta cerca de \(60\) litros por dia com a descarga, por uma bacia sanitária ecológica?
Answer
  • \(24\) litros
  • \(36\) litros
  • \(40\) litros
  • \(42\) litros
  • \(50\) litros

Question 14

Question
Um laboratório realiza exames em que é possível observar a taxa de glicose de uma pessoa. Os resultados são analisados de acordo com o quadro a seguir. Um paciente fez um exame de glicose nesse laboratório e comprovou que estava com hiperglicemia. Sua taxa de glicose era de \(300 mg/dL\). Seu médico prescreveu um tratamento em duas etapas. Na primeira etapa ele conseguiu reduzir sua taxa em \(30\%\) e na segunda etapa em \(10\%\). Ao calcular sua taxa de glicose após as duas reduções, o paciente verificou que estava na categoria de
Answer
  • hipoglicemia.
  • normal.
  • pré-diabetes.
  • diabetes melito.
  • hiperglicemia.

Question 15

Question
O designer português Miguel Neiva criou um sistema de símbolos que permite que pessoas daltônicas identifiquem cores. O sistema consiste na utilização de símbolos que identificam as cores primárias (azul, amarelo e vermelho). Além disso, a justaposição de dois desses símbolos permite identificar cores secundárias (como o verde, que é o amarelo combinado com o azul). O preto e o branco são identificados por pequenos quadrados: o que simboliza o preto é cheio, enquanto o que simboliza o branco é vazio. Os símbolos que representam preto e branco também podem estar associados aos símbolos que identificam cores, significando se estas são claras ou escuras. [Folha de São Paulo. Disponível em: www1.folha.uol.com.br. Acesso em: 18 fev. 2012 (adaptado)] De acordo com o texto, quantas cores podem ser representadas pelo sistema proposto?
Answer
  • \(14\)
  • \(18\)
  • \(20\)
  • \(21\)
  • \(23\)

Question 16

Question
Um banco solicitou aos seus clientes a criação de uma senha pessoal de seis dígitos, formada somente por algarismos de \(0\) a \(9\), para acesso à conta corrente pela internet. Entretanto, um especialista em sistemas de segurança eletrônica recomendou à direção do banco recadastrar seus usuários, solicitando, para cada um deles, a criação de uma nova senha com seis dígitos, permitindo agora o uso das \(26\) letras do alfabeto, além dos algarismos de \(0\) a \(9\). Nesse novo sistema, cada letra maiúscula era considerada distinta de sua versão minúscula. Além disso, era proibido o uso de outros tipos de caracteres. Uma forma de avaliar uma alteração no sistema de senhas é a verificação do coeficiente de melhora, que é a razão do novo número de possibilidades de senhas em relação ao antigo. O coeficiente de melhora da alteração recomendada é
Answer
  • \(\frac{62^{6}}{10^6}\)
  • \(\frac{62!}{10!}\)
  • \(\frac{62!4!}{10!56!}\)
  • \(62!-10!\)
  • \(62^{6} – 10^{6}\)

Question 17

Question
Uma torneira não foi fechada corretamente e fiou pingando, da meia-noite às seis horas da manhã, com a frequência de uma gota a cada três segundos. Sabe-se que cada gota d’agua tem volume de \(0,2 mL\). Qual foi o valor mais aproximado do total de água desperdiçada nesse período, em litros?
Answer
  • \(0,2\)
  • \(1,2\)
  • \(1,4\)
  • \(12,9\)
  • \(64,8\)

Question 18

Question
Um comerciante visita um centro de vendas para fazer cotação de preços dos produtos que deseja comprar. Verifica que se aproveita \(100\%\) da quantidade adquirida de produtos do tipo \(A\), mas apenas \(90\%\) de produtos do tipo \(B\). Esse comerciante deseja comprar uma quantidade de produtos, obtendo o menor custo/benefício em cada um deles. O quadro mostra o preço por quilograma, em reais, de cada produto comercializado. Os tipos de arroz, feijão, soja e milho que devem ser escolhidos pelo comerciante são, respectivamente,
Answer
  • \(A, \,A, \, A, \,A\).
  • \(A, \,B, \,A, \,B\).
  • \(A, \,B, \, B, \, A\).
  • \(B, \,A, \,A, \,B\).
  • \(B, \, B, \,B,\,B\).

Question 19

Question
A cidade de Guarulhos (SP) tem o 8º PIB municipal do Brasil, além do maior aeroporto da América do Sul. Em proporção, possui a economia que mais cresce em indústrias, conforme mostra o gráfico. Analisando os dados percentuais do gráfico, qual a diferença entre o maior e o menor centro em crescimento no polo das indústrias?
Answer
  • \(75,28\)
  • \(64,09\)
  • \(56,95\)
  • \(45,76\)
  • \(30,07\)

Question 20

Question
Em um certo teatro, as poltronas são divididas em setores. A figura apresenta a vista do setor 3 desse teatro, no qual as cadeiras escuras estão reservadas e as claras não foram vendidas. A razão que representa a quantidade de cadeiras reservadas do setor 3 em relação ao total de cadeiras desse mesmo setor é
Answer
  • \(\frac{17}{70}\)
  • \(\frac{17}{53}\)
  • \(\frac{53}{70}\)
  • \(\frac{53}{17}\)
  • \(\frac{70}{17}\)

Question 21

Question
Para o reflorestamento de uma área, deve-se cercar totalmente, com tela, os lados de um terreno, exceto o lado margeado pelo rio, conforme a figura. Cada rolo de tela que será comprado para confecção da cerca contém \(48\) metros de comprimento. A quantidade mínima de rolos que deve ser comprada para cercar esse terreno é
Answer
  • \(6\).
  • \(7\).
  • \(8\).
  • \(11\).
  • \(12\).

Question 22

Question
Um dos grandes problemas enfrentados nas rodovias brasileiras é o excesso de carga transportada pelos caminhões. Dimensionado para o tráfego dentro dos limites legais de carga, o piso das estradas se deteriora com o peso excessivo dos caminhões. Além disso, o excesso de carga interfere na capacidade de frenagem e no funcionamento da suspensão do veículo, causas frequentes de acidentes. Ciente dessa responsabilidade e com base na experiência adquirida com pesagens, um caminhoneiro sabe que seu caminhão pode carregar, no máximo, \(1\, 500\) telhas ou \(1\, 200\) tijolos. Considerando esse caminhão carregado com \(900\) telhas, quantos tijolos, no máximo, podem ser acrescentados à carga de modo a não ultrapassar a carga máxima do caminhão?
Answer
  • \(300\) tijolos
  • \(360\) tijolos
  • \(400\) tijolos
  • \(480\) tijolos
  • \(600\) tijolos

Question 23

Question
Muitos processos fisiológicos e bioquímicos, tais como batimentos cardíacos e taxa de respiração, apresentam escalas construídas a partir da relação entre superfície e massa (ou volume) do animal. Uma dessas escalas, por exemplo, considera que “o cubo da área \(S\) da superfície de um mamífero é proporcional ao quadrado de sua massa \(M\)”. [HUGHES-HALLETT, D. et al. Cálculo e aplicações. São Paulo: Edgard Blücher, 1999 (adaptado).] Isso é equivalente a dizer que, para uma constante \(k > 0\), a área \(S\) pode ser escrita em função de \(M\) por meio da expressão:
Answer
  • \(S=K\times M\)
  • \(S=K\times M^{1/3}\)
  • \(S=K^{1/3}\times M^{1/3}\)
  • \(S=K^{1/3}\times M^{2/3}\)
  • \(S=K^{1/3}\times M^{2}\)

Question 24

Question
Uma indústria tem um reservatório de água com capacidade para \(900 m^3\). Quando há necessidade de limpeza do reservatório, toda a água precisa ser escoada. O escoamento da água é feito por seis ralos, e dura \(6\) horas quando o reservatório está cheio. Esta indústria construirá um novo reservatório, com capacidade de \(500 m^3\), cujo escoamento da água deverá ser realizado em \(4\) horas, quando o reservatório estiver cheio. Os ralos utilizados no novo reservatório deverão ser idênticos aos do já existente. A quantidade de ralos do novo reservatório deverá ser igual a
Answer
  • \(2\).
  • \(4\).
  • \(5\).
  • \(8\).
  • \(9\).

Question 25

Question
Uma fábrica de fórmicas produz placas quadradas de lados de medida igual a \(y\) centímetros. Essas placas são vendidas em caixas com \(N\) unidades e, na caixa, é especificada a área máxima \(S\) que pode ser coberta pelas \(N\) placas. Devido a uma demanda do mercado por placas maiores, a fábrica triplicou a medida dos lados de suas placas e conseguiu reuni-las em uma nova caixa, de tal forma que a área coberta \(S\) não fosse alterada. A quantidade \(X\), de placas do novo modelo, em cada nova caixa será igual a:
Answer
  • \(\frac{N}{9}\)
  • \(\frac{N}{6}\)
  • \(\frac{N}{3}\)
  • \(3N\)
  • \(9N\)

Question 26

Question
O contribuinte que vende mais de \(R\$\, 20\, mil\) de ações em Bolsa de Valores em um mês deverá pagar Imposto de Renda. O pagamento para a Receita Federal consistirá em \(15\%\) do lucro obtido com a venda das ações. [Disponível em: www1.folha.uol.com.br. Acesso em: 26 abr. 2010 (adaptado).] Um contribuinte que vende por \(R\$\, 34\, mil\) um lote de ações que custou \(R\$\, 26\, mil\) terá de pagar de Imposto de Renda à Receita Federal o valor de
Answer
  • \(R\$\, 900,00\).
  • \(R\$\, 1 200,00\).
  • \(R\$ \,2 100,00\).
  • \(R\$ \,3 900,00\).
  • \(R\$ \,5 100,00\).

Question 27

Question
Para se construir um contrapiso, é comum, na constituição do concreto, se utilizar cimento, areia e brita, na seguinte proporção: \(1\) parte de cimento, \(4\) partes de areia e \(2\) partes de brita. Para construir o contrapiso de uma garagem, uma construtora encomendou um caminhão betoneira com \(14m^3\) de concreto. Qual é o volume de cimento, em \(m^3\), na carga de concreto trazido pela betoneira?
Answer
  • \(1,75\)
  • \(2,00\)
  • \(2,33\)
  • \(4,00\)
  • \(8,00\)

Question 28

Question
Para aumentar as vendas no início do ano, uma loja de departamentos remarcou os preços de seus produtos \(20\%\) abaixo do preço original. Quando chegam ao caixa, os clientes que possuem o cartão fidelidade da loja têm direito a um desconto adicional de \(10\%\) sobre o valor total de suas compras. Um cliente deseja comprar um produto que custava \(R\$\, 50,00\) antes da remarcação de preços. Ele não possui o cartão fidelidade da loja. Caso esse cliente possuísse o cartão fidelidade da loja, a economia adicional que obteria ao efetuar a compra, em reais, seria de
Answer
  • \(15,00\).
  • \(14,00\).
  • \(10,00\).
  • \(5,00\).
  • \(4,00\).

Question 29

Question
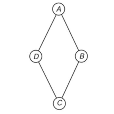
Um artesão de joias tem à sua disposição pedras brasileiras de três cores: vermelhas, azuis e verdes. Ele pretende produzir joias constituídas por uma liga metálica, a partir de um molde no formato de um losango não quadrado com pedras nos seus vértices, de modo que dois vértices consecutivos tenham sempre pedras de cores diferentes. A figura ilustra uma joia, produzida por esse artesão, cujos vértices \(A\), \(B\), \(C\) e \(D\) correspondem às posições ocupadas pelas pedras. Com base nas informações fornecidas, quantas joias diferentes, nesse formato, o artesão poderá obter?
Answer
  • \(6\)
  • \(12\)
  • \(18\)
  • \(24\)
  • \(36\)

Question 30

Question
A cerâmica constitui-se em um artefato bastante presente na história da humanidade. Uma de suas várias propriedades é a retração (contração), que consiste na evaporação da água existente em um conjunto ou bloco cerâmico quando submetido a uma determinada temperatura elevada. Essa elevação de temperatura, que ocorre durante o processo de cozimento, causa uma redução de até \(20\%\) nas dimensões lineares de uma peça. [Disponível em: www.arq.ufsc.br. Acesso em: 3 mar. 2012.] Suponha que uma peça, quando moldada em argila, possuía uma base retangular cujos lados mediam \(30 cm\) e \(15 cm\). Após o cozimento, esses lados foram reduzidos em \(20\%\). Em relação à área original, a área da base dessa peça, após o cozimento, ficou reduzida em
Answer
  • \(4\%\).
  • \(20\%\).
  • \(36\%\).
  • \(64\%\).
  • \(96\%\).

Question 31

Question
Nos Estados Unidos a unidade de medida de volume mais utilizada em latas de refrigerante é a onça fluida (fl oz), que equivale a aproximadamente \(2,95\) centilitros (\(cL\)). Sabe-se que o centilitro é a centésima parte do litro e que a lata de refrigerante usualmente comercializada no Brasil tem capacidade de \(355 mL\). Assim, a medida do volume da lata de refrigerante de \(355 mL\), em onça fluida (fl oz), é mais próxima de
Answer
  • \(0,83\).
  • \(1,20\).
  • \(12,03\).
  • \(104,73\).
  • \(120,34\).

Question 32

Question
A taxa de fecundidade é um indicador que expressa a condição reprodutiva média das mulheres de uma região, e é importante para uma análise da dinâmica demográfica dessa região. A tabela apresenta os dados obtidos pelos Censos de 2000 e 2010, feitos pelo IBGE, com relação à taxa de fecundidade no Brasil. Suponha que a variação percentual relativa na taxa de fecundidade no período de 2000 a 2010 se repita no período de 2010 a 2020. Nesse caso, em 2020 a taxa de fecundidade no Brasil estará mais próxima de
Answer
  • \(1,42\).
  • \(1,52\).
  • \(1,70\).
  • \(1,14\).
  • \(1,80\).

Question 33

Question
O Ministério da Saúde e as unidades federadas promovem frequentemente campanhas nacionais e locais de incentivo à doação voluntária de sangue, em regiões com menor número de doadores por habitante, com o intuito de manter a regularidade de estoques nos serviços hemoterápicos. Em 2010, foram recolhidos dados sobre o número de doadores e o número de habitantes de cada região conforme o quadro seguinte. Os resultados obtidos permitiram que estados, municípios e o governo federal estabelecessem as regiões prioritárias do país para intensificação das campanhas de doação de sangue. A campanha deveria ser intensificada nas regiões em que o percentual de doadores por habitantes fosse menor ou igual ao do país. [Disponível em: http://bvsms.saude.gov.br. Acesso em: 2 ago. 2013 (adaptado).] As regiões brasileiras onde foram intensificadas as campanhas na época são
Answer
  • Norte, Centro-Oeste e Sul.
  • Norte, Nordeste e Sudeste.
  • Nordeste, Norte e Sul.
  • Nordeste, Sudeste e Sul.
  • Centro-Oeste, Sul e Sudeste.

Question 34

Question
De acordo com a ONU, da água utilizada diariamente, * \(25\%\) são para tomar banho, lavar as mãos e escovar os dentes. * \(33\%\) são utilizados em descarga de banheiro. * \(27\%\) são para cozinhar e beber. * \(15\%\) são para demais atividades. No Brasil, o consumo de água por pessoa chega, em média, a \(200\) litros por dia. O quadro mostra sugestões de consumo moderado de água por pessoa, por dia, em algumas atividades. Se cada brasileiro adotar o consumo de água indicado no quadro, mantendo o mesmo consumo nas demais atividades, então economizará diariamente, em média, em litros de água,
Answer
  • \(30,0\).
  • \(69,6\).
  • \(100,4\).
  • \(130,4\).
  • \(170,0\).

Question 35

Question
Durante a Segunda Guerra Mundial, para decifrarem as mensagens secretas, foi utilizada a técnica de decomposição em fatores primos. Um número N é dado pela expressão \(2^{x}.5^{y}.7^{z}\), na qual \(x\), \(y\) e \(z\) são números inteiros não negativos. Sabe-se que \(N\) é múltiplo de \(10\) e não é múltiplo de \(7\). O número de divisores de \(N\), diferentes de \(N\), é
Answer
  • \(x.y.z\)
  • \( (x+1).(y+1) \)
  • \(x.y.z-1\)
  • \( (x+1).(y+1).z\)
  • \( (x+1).(y+1).(z+1)-1\)

Question 36

Question
Uma organização não governamental divulgou um levantamento de dados realizado em algumas cidades brasileiras sobre saneamento básico. Os resultados indicam que somente \(36\%\) do esgoto gerado nessas cidades é tratado, o que mostra que \(8\) bilhões de litros de esgoto sem nenhum tratamento são lançados todos os dias nas águas. Uma campanha para melhorar o saneamento básico nessas cidades tem como meta a redução da quantidade de esgoto lançado nas águas diariamente, sem tratamento, para \(4\) bilhões de litros nos próximos meses. Se o volume de esgoto gerado permanecer o mesmo e a meta dessa campanha se concretizar, o percentual de esgoto tratado passará a ser
Answer
  • \(72\%\)
  • \(68\%\)
  • \(64\%\)
  • \(54\%\)
  • \(18\%\)

Question 37

Question
Boliche é um jogo em que se arremessa uma bola sobre uma pista para atingir dez pinos, dispostos em uma formação de base triangular, buscando derrubar o maior número de pinos. A razão entre o total de vezes em que o jogador derruba todos os pinos e o número de jogadas determina seu desempenho. Em uma disputa entre cinco jogadores, foram obtidos os seguintes resultados: Jogador \(I\) – Derrubou todos os pinos \(50\) vezes em \(85\) jogadas. Jogador \(II\) – Derrubou todos os pinos \(40\) vezes em \(65\) jogadas. Jogador \(III\) – Derrubou todos os pinos \(20\) vezes em \(65\) jogadas. Jogador \(IV\) – Derrubou todos os pinos \(30\) vezes em \(40\) jogadas. Jogador \(V\) – Derrubou todos os pinos \(48\) vezes em \(90\) jogadas. Qual desses jogadores apresentou maior desempenho?
Answer
  • I
  • II
  • III
  • IV
  • V

Question 38

Question
Em uma cidade, o valor total da conta de energia elétrica é obtido pelo produto entre o consumo (em kWh) e o valor da tarifa do kWh (com tributos), adicionado à Cosip (contribuição para custeio da iluminação pública), conforme a expressão: Valor do kWh (com tributos) \(\times\) consumo (em kWh) \(+\) Cosip O valor da Cosip é fixo em cada faixa de consumo. O quadro mostra o valor cobrado para algumas faixas. Suponha que, em uma residência, todo mês o consumo seja de \(150 kWh\), e o valor do kWh (com tributos) seja de \(R\$ 0,50\). O morador dessa residência pretende diminuir seu consumo mensal de energia elétrica com o objetivo de reduzir o custo total da conta em pelo menos \(10\%\). Qual deve ser o consumo máximo, em kWh, dessa residência para produzir a redução pretendida pelo morador?
Answer
  • \(134,1\)
  • \(135,0\)
  • \(137,1\)
  • \(138,6\)
  • \(143,1\)

Question 39

Question
Um cliente de uma videolocadora tem o hábito de alugar dois filmes por vez. Quando os devolve, sempre pega outros dois e assim sucessivamente. Ele soube que a videolocadora recebeu alguns lançamentos, sendo \(8\) filmes de ação, \(5\) de comédia e \(3\) de drama e, por isso, estabeleceu uma estratégia para ver todos esses \(16\) lançamentos. Inicialmente alugará, em cada vez, um filme de ação e um de comédia. Quando se esgotarem as possibilidades de comédia, o cliente alugará um filme de ação e um de drama, até que todos os lançamentos sejam vistos e sem que nenhum filme seja repetido. De quantas formas distintas a estratégia desse cliente poderá ser posta em prática?
Answer
  • \(20\times 8!+(3!)^{2}\)
  • \(8!\times 5!\times 3!\)
  • \(\frac{8!\times 5!\times 3!}{2^{8}}\)
  • \(\frac{8!\times 5!\times 3!}{2^{2}}\)
  • \(\frac{16!}{2^{8}}\)

Question 40

Question
A Companhia de Engenharia de Tráfego (CET) de São Paulo testou em 2013 novos radares que permitem o cálculo da velocidade média desenvolvida por um veículo em um trecho da via. As medições de velocidade deixariam de ocorrer de maneira instantânea, ao se passar pelo radar, e seriam feitas a partir da velocidade média no trecho, considerando o tempo gasto no percurso entre um radar e outro. Sabe-se que a velocidade média é calculada como sendo a razão entre a distância percorrida e o tempo gasto para percorrê-la. O teste realizado mostrou que o tempo que permite uma condução segura de deslocamento no percurso entre os dois radares deveria ser de, no mínimo, \(1\) minuto e \(24\) segundos. Com isso, a CET precisa instalar uma placa antes do primeiro radar informando a velocidade média máxima permitida nesse trecho da via. O valor a ser exibido na placa deve ser o maior possível, entre os que atendem às condições de condução segura observadas. [Disponível em: www1.folha.uol.com.br. Acesso em: 11 jan. 2014 (adaptado).] A placa de sinalização que informa a velocidade que atende a essas condições é

Question 41

Question
O Brasil é um país com uma vantagem econômica clara no terreno dos recursos naturais, dispondo de uma das maiores áreas com vocação agrícola do mundo. Especialistas calculam que, dos \(853\) milhões de hectares do país, as cidades, as reservas indígenas e as áreas de preservação, incluindo florestas e mananciais, cubram por volta de \(470\) milhões de hectares. Aproximadamente \(280\) milhões se destinam à agropecuária, \(200\) milhões para pastagens e \(80\) milhões para a agricultura, somadas as lavouras anuais e as perenes, como o café e a fruticultura. [FORTES, G. Recuperação de pastagens é alternativa para ampliar cultivos. Folha de S. Paulo, 30 out. 2011.] De acordo com os dados apresentados, o percentual correspondente à área utilizada para agricultura em relação à área do território brasileiro é mais próximo de
Answer
  • \(32,8\%\)
  • \(28,6\%\)
  • \(10,7\%\)
  • \(9,4\%\)
  • \(8,0\%\)

Question 42

Question
Uma ponte precisa ser dimensionada de forma que possa ter três pontos de sustentação. Sabe-se que a carga máxima suportada pela ponte será de \(12 t\). O ponto de sustentação central receberá \(60\%\) da carga da ponte, e o restante da carga será distribuído igualmente entre os outros dois pontos de sustentação. No caso de carga máxima, as cargas recebidas pelos três pontos de sustentação serão, respectivamente,
Answer
  • \(1,8 t; 8,4 t; 1,8 t\).
  • \(3,0 t; 6,0 t; 3,0 t\).
  • \(2,4 t; 7,2 t; 2,4 t\).
  • \(3,6 t; 4,8 t; 3,6 t\).
  • \(4,2 t; 3,6 t; 4,2 t\).

Question 43

Question
Os incas desenvolveram uma maneira de registrar quantidades e representar números utilizando um sistema de numeração decimal posicional: um conjunto de cordas com nós denominado “quipus”. O “quipus” era feito de uma corda matriz, ou principal (mais grossa que as demais), na qual eram penduradas outras cordas, mais finas, de diferentes tamanhos e cores (cordas pendentes). De acordo com a sua posição, os nós significavam unidades, dezenas, centenas e milhares. Na Figura 1, o “quipus” representa o número decimal \(2\, 453\). Para representar o “zero” em qualquer posição, não se coloca nenhum nó. O número da representação do “quipus” da Figura 2, em base decimal, é
Answer
  • \(364\).
  • \(463\).
  • \(3\, 064\).
  • \(3\, 640\).
  • \(4\, 603\).

Question 44

Question
Durante uma epidemia de uma gripe viral, o secretário de saúde de um município comprou \(16\) galões de álcool em gel, com \(4\) litros de capacidade cada um, para distribuir igualmente em recipientes para \(10\) escolas públicas do município. O fornecedor dispõe à venda diversos tipos de recipientes, com suas respectivas capacidades listadas: * Recipiente I: \(0,125\) litro * Recipiente II: \(0,250\) litro * Recipiente III: \(0,320\) litro * Recipiente IV: \(0,500\) litro * Recipiente V: \(0,800\) litro O secretário de saúde comprará recipientes de um mesmo tipo, de modo a instalar \(20\) deles em cada escola, abastecidos com álcool em gel na sua capacidade máxima, de forma a utilizar todo o gel dos galões de uma só vez. Que tipo de recipiente o secretário de saúde deve comprar?
Answer
  • I
  • II
  • III
  • IV
  • V

Question 45

Question
Os vidros para veículos produzidos por certo fabricante têm transparências entre \(70%\) e \(90\%\), dependendo do lote fabricado. Isso significa que, quando um feixe luminoso incide no vidro, uma parte entre \(70%\) e \(90%\) da luz consegue atravessá-lo. Os veículos equipados com vidros desse fabricante terão instaladas, nos vidros das portas, películas protetoras cuja transparência, dependendo do lote fabricado, estará entre \(50%\) e \(70%\). Considere que uma porcentagem \(P\) da intensidade da luz, proveniente de uma fonte externa, atravessa o vidro e a película. De acordo com as informações, o intervalo das porcentagens que representam a variação total possível de \(P\) é
Answer
  • \( [35 ; 63] \).
  • \( [40 ; 63] \).
  • \( [50 ; 70] \).
  • \( [50 ; 90] \).
  • \( [70 ; 90] \).

Question 46

Question
Um executivo sempre viaja entre as cidades \(A\) e \(B\), que estão localizadas em fusos horários distintos. O tempo de duração da viagem de avião entre as duas cidades é de \(6\) horas. Ele sempre pega um voo que sai de \(A\) às \(15h\) e chega à cidade \(B\) às \(18h\) (respectivos horários locais). Certo dia, ao chegar à cidade \(B\), soube que precisava estar de volta à cidade \(A\), no máximo, até as \(13h\) do dia seguinte (horário local de \(A\)). Para que o executivo chegue à cidade \(A\) no horário correto e admitindo que não haja atrasos, ele deve pegar um voo saindo da cidade \(B\), em horário local de \(B\), no máximo à(s)
Answer
  • \(16h\).
  • \(10h\).
  • \(7h\).
  • \(4h\).
  • \(1h\).
Show full summary Hide full summary

Similar

Simulado ENEM - Matemática
Nathalia - GoConqr
Simulado Matemática
Marina Faria
Simulado de Matemática
Alessandra S.
Simulado Inglês
Marina Faria
Plano de estudos ENEM - Parte 2 *Exatas/Biológicas
GoConqr suporte .
Simulado Filosofia
Marina Faria
Simulado Espanhol
Marina Faria
Simulado ENEM - Ciências humanas
Nathalia - GoConqr
SIMULADO IBGE 2016 - Matemática - Probabilidade
Alex Farias
Simulado ENEM - Língua Espanhola
Nathalia - GoConqr
Provas anteriores de Vestibular - Fuvest 1
GoConqr suporte .