null
US
Sign In
Sign Up for Free
Sign Up
We have detected that Javascript is not enabled in your browser. The dynamic nature of our site means that Javascript must be enabled to function properly. Please read our
terms and conditions
for more information.
Next up
Copy and Edit
You need to log in to complete this action!
Register for Free
1067003
2.3, 2.4 & 3.1 Check - In
Description
Quiz on 2.3, 2.4 & 3.1 Check - In, created by Harmony Richman on 12/07/2014.
Quiz by
Harmony Richman
, updated more than 1 year ago
More
Less
Created by
Harmony Richman
over 11 years ago
640
0
0
Resource summary
Question 1
Question
Find the slope of the line between the points P(8, - 2) and Q(-2 , 3)
Answer
1/2
-1/2
2
Question 2
Question
Find the equation of the line parallel to 2x + 3y = 5 and passing through P(-3, -1).
Answer
y = (-2/3)x + 1
y = (3/2)x + 1
y = (-2/3)x - 3
Question 3
Question
Select all appropriate choices for the following graph.
Image:
Capture.JPG (image/JPG)
Answer
The graph opens down.
The graph opens up.
The vertex is (2, 3)
The line of symmetry is x = 2
The line of symmetry is y = 3
The maximum value is (2, 3)
The minimum value is (2, 3)
The domain is all real numbers
Question 4
Question
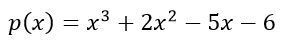
Using synthetic division... is (x - 2) a factor of the function in the photo?
Image:
Capture.JPG (image/JPG)
Answer
True
False
Show full summary
Hide full summary
Want to create your own
Quizzes
for
free
with GoConqr?
Learn more
.
Similar
Browse Library