null
US
Sign In
Sign Up for Free
Sign Up
We have detected that Javascript is not enabled in your browser. The dynamic nature of our site means that Javascript must be enabled to function properly. Please read our
terms and conditions
for more information.
Next up
Copy and Edit
You need to log in to complete this action!
Register for Free
1554421
Hard Equations
Description
Quiz on Hard Equations , created by Noah Roffe on 30/10/2014.
Quiz by
Noah Roffe
, updated more than 1 year ago
More
Less
Created by
Noah Roffe
about 11 years ago
4
0
0
Resource summary
Question 1
Question
What is the answer to this equation? a x² + b x + c
Answer
0
-y
x
1
Question 2
Question
What is the answer of this equation? 2 * x + 3
Answer
y
x
1
6
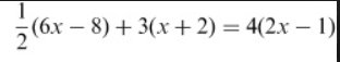
Question 3
Question
Solve:
Image:
me.PNG (image/PNG)
Answer
0.309
0.756
-0.089
-y= 0.399
Question 4
Question
Solve:
Image:
Capture.PNG (image/PNG)
Answer
-x
2
-y=2/x
0
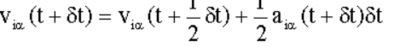
Question 5
Question
Solve:
Image:
Capture.PNG (image/PNG)
Answer
-11
10
-x= y/1
11
Question 6
Question
Solve:
Image:
Capture.PNG (image/PNG)
Answer
x=3
-y=x*3
y=-4
x=0
Question 7
Question
Solve:
Image:
Capture.PNG (image/PNG)
Answer
y=-25
x=15
-y/1
-y= 0
Show full summary
Hide full summary
Want to create your own
Quizzes
for
free
with GoConqr?
Learn more
.
Similar
Browse Library