MATEMATICA

Description

Simulacro AREA 100 - TECNOLOGIA Quiz on MATEMATICA, created by dableyou on 29/12/2013.
dableyou
Quiz by dableyou, updated more than 1 year ago
dableyou
Created by dableyou about 12 years ago
156
1

Resource summary

Question 1

Question
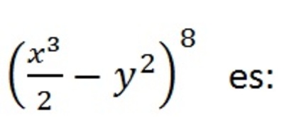
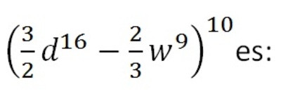
El 4to término del desarrollo de
Answer

Question 2

Question
El termino central de

Question 3

Question
Después de factorizar la expresión (x-3)(x-2)(x-1)x-3, uno de sus factores es:

Question 4

Question
¿Qué numero se debe aumentar al coeficiente del término lineal del polinomio para que al dividir entre (x-1) su resto sea 12?
Answer
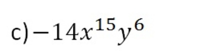
  • a) 6
  • b) 14
  • c) -14
  • d) -6
  • e) NA

Question 5

Question
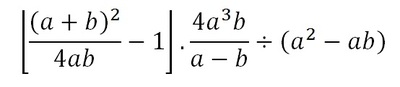
Al simplificar la expresión
Answer
  • a) a
  • b) -a
  • c) b
  • d) -b
  • e) NA

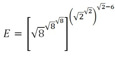
Question 6

Question
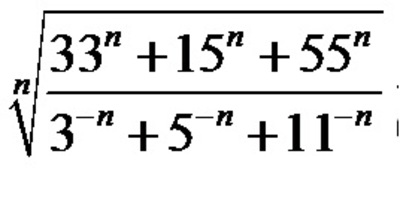
Simplificar
Answer
  • a) 200
  • b) 100
  • c) 140
  • d) 165
  • e) NA

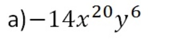
Question 7

Question
Al simplificar la expresión
Answer
  • a) 1
  • b) 2
  • c) 4
  • d) 8
  • e) NA

Question 8

Question
Un estudiante de la UAGRM gasta los 5/8 de su mesada y Bs 20 más en prepararse para un examen, si se queda con la cuarta parte de la mesada y Bs. 16 más, entonces su mesada (en bolivianos) era de:
Answer
  • a) 200
  • b) 300
  • c) 248
  • d) 288
  • e) NA

Question 9

Question
Si vendo los 5/8 de una pieza de tela me quedan 24 metros, entonces el número de metros de tela que tenía la pieza es:
Answer
  • a) 46
  • b) 64
  • c) 32
  • d) 24
  • e) NA

Question 10

Question
Para que el polinomio sea divisible por (2x + 1) el valor de k es:
Answer
  • a) - 3
  • b) 2
  • c) -2
  • d) 3
  • e) NA
Show full summary Hide full summary

Similar

CÁLCULO MENTAL
JL Cadenas
Funciones - Test
sofialeone
Enseñando las matemáticas con el uso de las TICs
danilo2506
ORIGEN DE LOS LOGARITMOS
Hugo Fernando
Circulo y circunferencia
jessica silveira
Notación Científica mapa mental
arojasaci17
Sistemas de ecuaciones lineales método cramer
Patricio Cáceres
La enseñanza de la Geometría
Sabina Sosa
Lógica: tablas de verdad. Actividades (Àlex Lluch)
Àlex Lluch
PROPIEDADES DE LAS PROPORCIONES
AlejoLop12 RMC
SUCESIONES NUMÉRICAS
Maria Elena Ramirez Dominguez