Graficación 2D.

Beschreibung

unidad 2 graficacion en 2D
Jhonatan Sánchez
Mindmap von Jhonatan Sánchez, aktualisiert more than 1 year ago
Jhonatan Sánchez
Erstellt von Jhonatan Sánchez vor etwa 11 Jahre
276
0

Zusammenfassung der Ressource

Graficación 2D.
  1. 2.1 Trazo de líneas rectas.
    1. la recta o la línea recta, se extiende en una misma dirección, existe en una sola dimensión y contiene infinitos puntos; está compuesta de infinitos segmentos (el fragmento de línea más corto que une dos puntos).
    2. 2.2 Representación y trazo de polígonos.
      1. Un polígono es una figura bidimensional compuesta por una secuencia finita de segmentos rectos consecutivos que cierran una región en el espacio
        1. Simple o complejo
          1. Regular o irregular
            1. Cóncavo o convexo
          2. 2.3 Transformación bidimensional.
            1. 2.3.1 Traslación.
              1. Una traslación es el movimiento en línea recta de un objeto de una posición a otra.
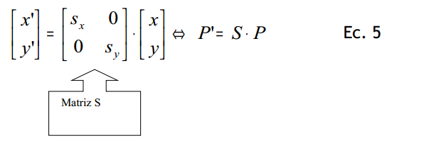
              2. 2.3.2 Escalamiento.
                1. Una transformación para alterar el tamaño de un objeto se denomina escalación.
                2. 2.3.3 Rotación
                  1. Para rotar un objeto (en este caso bidimensional), se ha de determinar la cantidad de grados en la que ha de rotarse la figura.
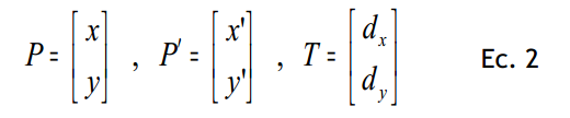
                3. 2.4 Representación matricial..
                  1. En el área de la graficación por computadora, es común encontrar la representación de las ecuaciones de transformación por medio de matrices, y se pueden encontrar dos tipos de notaciones para representarlas:
                    1. 1.- Repesentando las coordenadas de un punto p como vectores renglón
                      1. 2.- Representando las coordenadas de un punto p como vectores columna
                    2. 2.5 Ventana y puerto de visión.
                      1. Mapean puntos en el mundo real a puntos en la pantalla es la manera en que van a realizar nuestros trazos y dibujos en la pantalla, pues como hemos observado en anteriores ocaciones el despliegue se hace tomando como referencia la esquina superior izquierda de nuestro monitor o pantalla donde se muestra el gráfico.
                      Zusammenfassung anzeigen Zusammenfassung ausblenden

                      ähnlicher Inhalt