Proyecto Módulo 6

Beschreibung

Enia Esqueda A01400992
Enia Daniela Esqueda Cisneros
Mindmap von Enia Daniela Esqueda Cisneros, aktualisiert more than 1 year ago
Enia Daniela Esqueda Cisneros
Erstellt von Enia Daniela Esqueda Cisneros vor etwa 11 Jahre
16
0

Zusammenfassung der Ressource

Proyecto Módulo 6
  1. 6.1: Leyes de exponentes I
    1. Existen 7 reglas:
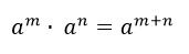
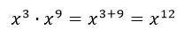
      1. Regla del producto
        1. Ejemplo:
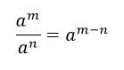
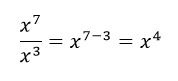
        2. Regla del cociente
          1. Ejemplo:
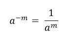
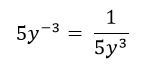
          2. Regla del exponente negativo
            1. Ejemplo:
            2. Regla del exponente cero
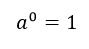
              1. Ejemplo:
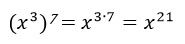
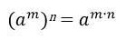
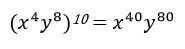
              2. Elevar una potencia a una potencia
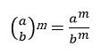
                1. Ejemplo:
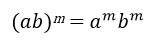
                2. Elevar un producto a una potencia
                  1. Ejemplo:
                  2. Elevar un cociente a una potencia
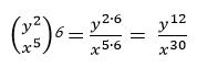
                    1. Ejemplo:
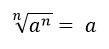
                3. 6.2: Expresar un radical como exponente fraccionario y viceversa
                  1. Existen 3 reglas:
                    1. 1) Cuando a es un número no negativo, n es cualquier índice. Cuando a es un número negativo, n es impar.
                      1. Ejemplo:
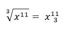
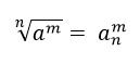
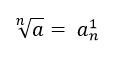
                      2. 2) Para cualquier número a no negativo, y enteros m y n.
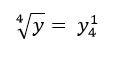
                        1. Ejemplo:
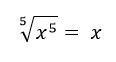
                        2. 3) Para cualquier número real a no negativo.
                          1. Ejemplo:
                      3. 6.3: Simplificación de radicales con radicando entero
                        1. Existen 2 reglas:
                          1. Regla del producto de radicales
                            1. El radicando se puede descomponer en factores donde uno al menos sea potencia perfecta.
                              1. Ejemplo:
                            2. Regla del cociente de radicales
                              1. Un cociente de dos radicales puede expresarse bajo un mismo signo radical.
                                1. Ejemplo:
                          Zusammenfassung anzeigen Zusammenfassung ausblenden

                          ähnlicher Inhalt