La Estadistica

Beschreibung

Se describen ambos tipos de estadistica
pazlec
Mindmap von pazlec, aktualisiert more than 1 year ago
pazlec
Erstellt von pazlec vor etwa 11 Jahre
19
0

Zusammenfassung der Ressource

Estadistica
  1. Descriptiva
    1. Estadisticos de Posición
      1. Percentiles
        1. Deciles
          1. Cuartiles
          2. Medidas de Dispersión
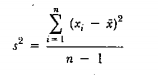
            1. Varianza
              1. Desviacion Media
                1. Desviacion Típica o Estándar
                  1. Amplitud
                    1. Coeficiente de variacion
                    2. Medidas de Tendencia Central
                      1. Moda
                        1. Mediana
                          1. Media Aritmética
                          2. Distribución de Frecuencia
                            1. Tabulacion
                              1. Con datos no agrupados
                                1. Marca de Clase
                                  1. Frecuencia absoluta
                                    1. Frecuencia Relativa
                                      1. Frecuencia Acumulada absoluta
                                        1. Frecuencia Acumulada Relativa
                                2. Con datos agrupados
                                  1. Rango
                                    1. Intervalos de Clase
                                      1. Regla de Herver Sturgers
                                3. Gráficos
                                  1. Barra
                                    1. Sectores
                                      1. Diferenciales
                                        1. Integrales
                                      2. Probabilidad
                                        1. Distribucion de Probabilidad
                                          1. De Variables Continuas
                                            1. Distribución Normal
                                              1. Distribucion Normal Estándar
                                            2. De Variables Discretas
                                              1. Distribución de Poisson
                                                1. Distribucion Binomial
                                              2. Técnicas de conteo
                                                1. Permutaciones
                                                  1. Combinaciones
                                                  2. Propiedades
                                                    1. P(E)>=0
                                                      1. P(E1)+P(E2)+...+P(En) = 1
                                                        1. P(Ei) o P(Ej) = P(Ei) + P(Ej)
                                                        2. Eventos
                                                          1. Simples
                                                            1. Compuestos
                                                        3. Inferencial
                                                          1. Estimacion

                                                            Anmerkungen:

                                                            • Se calcula a traves de datos de una muestra
                                                            • Se calcula a traves de datos de una muestra
                                                            1. Estimador:
                                                              1. Distribución T
                                                                1. Grados de libertad
                                                                  1. Propiedades
                                                                    1. Centro en 0
                                                                      1. Simetrica respecto a la media
                                                                        1. Variancoa >= 1
                                                                          1. t va de -inf. a +inf.
                                                                            1. t es una familia de distribuciones
                                                                              1. t se aproxima a una dist. normal a medida que n-1 a inf.
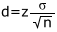
                                                                              2. Intervalos de confianza
                                                                              3. Intervalos de confianza
                                                                              4. Distribucion Muestral
                                                                                1. Muestreo Aleatorio simple
                                                                                  1. con reemplazo
                                                                                    1. sin reemplazo
                                                                                    2. Distribucion de la media muestral
                                                                                      1. NO SIGUE la distribucion normal
                                                                                        1. Teorema del limite central
                                                                                      2. Media
                                                                                        1. Variancia
                                                                                          1. Forma Funcional
                                                                                        2. Distribucion de la diferencia de medias de dos muestras
                                                                                        3. Prueba de Hipotesis
                                                                                          1. Tipos de Hipótesis
                                                                                            1. Hipótesis de investigacion
                                                                                              1. Hipotesis estadistica
                                                                                              2. Procedimiento
                                                                                                1. Evaluar los datos
                                                                                                  1. Revisar las suposiciones
                                                                                                    1. Formular las Hipótesis
                                                                                                      1. Hipotesis nula
                                                                                                        1. Hipotesis Alternativa
                                                                                                        2. Seleccionar la estadistica de prueba
                                                                                                          1. Determinar la distribucion de la estadistica de prueba
                                                                                                            1. Formular regla de desicion
                                                                                                              1. Calculo de estadistica de prueba
                                                                                                                1. Formular la desicion Estadistica
                                                                                                                  1. Conclusion
                                                                                                                    1. Rechazar la Hipotesis
                                                                                                                      1. No rechazar la hipotesis
                                                                                                                Zusammenfassung anzeigen Zusammenfassung ausblenden

                                                                                                                ähnlicher Inhalt

                                                                                                                La Estadistica
                                                                                                                Maria Roque
                                                                                                                La estadística en la investigación educativa.
                                                                                                                marlen vanegas
                                                                                                                Taller de estadistica
                                                                                                                Dianna Castellanos
                                                                                                                "LA ESTADÍSTICA EN INVESTIGACIÓN"
                                                                                                                Lindey carlosama criollo
                                                                                                                estadística etimológica
                                                                                                                alejandro machan
                                                                                                                La Estadística
                                                                                                                ISABEL FLORES
                                                                                                                Estadística Descriptiva e Inferencial
                                                                                                                Gonzalo Márquez
                                                                                                                CONCEPTOS BASICOS DE INVESTIGACION CONTABLE
                                                                                                                Edith Yarima CONTRERAS SALAZAR