Das ist ein zeitlich begrenztes Quiz.
Du hast 40 Minuten um die 20 Fragen in diesem Quiz zu beantworten.
El punto medio del segmento cuyos extremos son (2,1) y (-4,3) es:
(2,1)
(-1,-1)
(2,-1)
(-1,2)
Resuelve: [ (5)(3) + 16 -3 -8 ] + [ -2(3 - 6) -8 ] =
3
10
11
18
18 + 12 - 15 ÷ 5 + 4 =
7
31
13
5
Las rutas de circuito colonias, metropolitano y brisas pasan por la puerta de cierto centro comercial cada 30, 45 y 24 minutos, respectivamente. Si a las 7 A.M coincidieron los 3 en la puerta de la plaza. ¿A qué hora volverán a coincidir?
14:30
13:00
13:30
11:30
Rita, Juana y María son estudiantes foráneas y acuerdan rentan una casa a la que asisten cada 12, 18 y 9 días respectivamente. El día 6 del mes de enero coincidieron las 3 en la casa. ¿Cuál es la fecha más próxima en la que volverán a coincidir? a
18 de enero
11 de febrero
10 de febrero
14 de febrero
De r + s + t restar la suma de 6r + 8s - 9t con 7t - 3s -2r
3r - 4s + 3t
3r - 4s - 3t
-3r - 4s + 3t
- 3r + 4s + 3t
Selecciona la respuesta correcta
a
b
c
d
Luis obtuvo las siguientes calificaciones en sus primeros 3 exámenes de biología: 85, 82 y 72. ¿Qué calificación debe sacar en su próximo examen para que su promedio sea de 80?
91
79
81
80
En una granja se crían gallinas y conejos. Si se cuentan las cabezas, son 50, si las patas se cuentan son 134. ¿Cuántos conejos y gallinas hay, respectivamente?
17 y 33
28 y 22
33 y 17
22 y 28
Calcula el área de la parte sombreada, siendo AB = 2 cm, ABCD un cuadrado y APC Y AQC arcos de circunferencia de centros B y D.
π -2
2π -2
50%
2π - 4
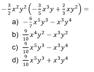
Resuelve:
175
420
1020
2448
24. Dos aviones parten simultáneamente del aeropuerto de la Cd. De Mérida, formando sus direcciones un ángulo de 60° entre sí. Después de treinta minutos el primero se encuentra a 150 km del aeropuerto y el segundo a 220 km. ¿Cuál es la distancia entre los dos aviones?
149 km
235.87 km
195.54 km
194.67 km
sen(45°) - cos(45°) + sen (30°) =
RECUERDA NO UTILIZAR CALCULADORA :)
√3/3
√3/2
√3
1/2
Determina la ecuación de la recta que pasa por los puntos (-5,3) y (-1,1)
y= -1/2x + 1/2
y= 1/2x - 1/2
y= - 2x + 2
y= 2x + 1/2
Clasificar el triángulo determinado por los puntos: A(6, 0), B(3, 0) y C(6, 3).
Isósceles
Rectángulo y equilatero
Isósceles y escaleno
Isósceles y rectángulo
¿Que función representa la siguiente gráfica?
cos(x)
3x +2
x + 3
sen(x)
Determina sus intersecciones con el eje Y y = −2x − 1
-2
-1
-1/2
¿Cual de las siguientes gráficas es una función?
¿Cuál es el promedio de las siguientes cantidades?
10, 8, 10, 9, 8.
9
8
Para descansar. ¿Cuanto es 1 + 2 +3 +4 +5 +6 +7 +8 +9 +10 +11 +12 +13 +14+ 15 +16 +17 +18 +19 +20 + 21+ 22+ 23 +24+ 25+ 26+ 27 + 28 + 29 +30?
930
461
465
463