Chapter 2 Quiz

Beschreibung

Quiz am Chapter 2 Quiz, erstellt von Harmony Richman am 12/07/2014.
Harmony Richman
Quiz von Harmony Richman, aktualisiert more than 1 year ago
Harmony Richman
Erstellt von Harmony Richman vor mehr als 11 Jahre
786
0

Zusammenfassung der Ressource

Frage 1

Frage
The midpoint of the points (-2, 3) and (4, -1) is (1, 1)
Antworten
  • True
  • False

Frage 2

Frage
The length of the line segment with endpoints (-2, 3) and (4, -1) is 6
Antworten
  • True
  • False

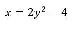
Frage 3

Frage
Determine the x - intercepts of the equation
Antworten
  • (-4, 0)
  • (0, 1.414)
  • (0, -1.414)

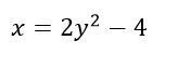
Frage 4

Frage
Determine the y - intercepts of the equation
Antworten
  • (0, 1.414)
  • (0, -1.414)
  • (-4, 0)

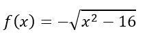
Frage 5

Frage
Determine the domain of the function
Antworten
  • x is less than 0
  • x is greater than 0
  • x is less than or equal to 0
  • x is greater than or equal to 0

Frage 6

Frage
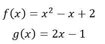
Using the following equations...find (f - g)(x)
Antworten
  • x^2 - 3x +3
  • x^2 + 3x - 1
  • -3x + 3
  • 3x - 4
Zusammenfassung anzeigen Zusammenfassung ausblenden

ähnlicher Inhalt

The moral act
17edumke