CUANTILES

Description

Mind Map on CUANTILES, created by Camilo Fernandez on 02/10/2014.
Camilo Fernandez
Mind Map by Camilo Fernandez, updated more than 1 year ago
Camilo Fernandez
Created by Camilo Fernandez about 11 years ago
170
0

Resource summary

CUANTILES
  1. los cuantiles son valores de la liquidacion de la distribucion que la dividen en partes iguales, es decir, en intervalos, que comprenden el mismo numero de valores
    1. Cuartiles: son los tres valores que dividen al conjunto de datos ordenados en cuatro partes iguales.
      1. Deciles: son nueve valores que dividen al conjunto de datos ordenados en diez partes iguales
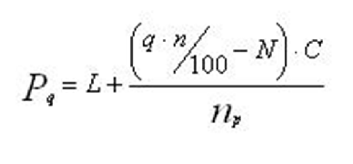
        1. Percentiles: son 99 valores que se dividen en cien partes al conjunto de datos ordenados. Ejemplo: el percentil de orden 15 deja por debajo el 15% de las observaciones, y por encima queda el 85%.
          Show full summary Hide full summary

          Similar

          PORTAFOLIO DIGITAL - Douglas Zhuma Sánchez
          Douglas Zhuma Sánchez