PROBABILIDAD

Description

un mapa que te ayudará a entender un poco mejor la estadistica o probabilidad matematica
estudiante1
Mind Map by estudiante1, updated more than 1 year ago
estudiante1
Created by estudiante1 almost 11 years ago
18
0

Resource summary

PROBABILIDAD
  1. qué será que es?
    1. es un método por el cual se obtiene la frecuencia de un acontecimiento determinado mediante la realización de un experimento aleatorio, del que se conocen todos los resultados posibles, bajo condiciones suficientemente estables.
    2. utiliza herramientas como
      1. la media: es el valor característico de una serie de datos cuantitativos objeto de estudio que parte del principio de la esperanza del valor esperado, se obtiene a partir de la suma de todos sus valores dividida entre el número de sumandos
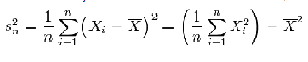
        1. la varianza: de una variable aleatoria es una medida de dispersión definida como la esperanza del cuadrado de la desviación de dicha variable respecto a su media. Está medida en unidades distintas de las de la variable. Por ejemplo, si la variable mide una distancia en metros, la varianza se expresa en metros al cuadrado
          1. la moda: es el valor con una mayor frecuencia en una distribución de datos
            1. frecuencia: Se denomina frecuencia a la cantidad de veces que se repite un determinado valor de la variable
              1. Frecuencia absoluta: Es el promedio de una suma predeterminada y además consiste en saber cual es el número o símbolo de mayor equivalencia.
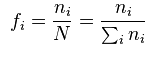
                1. Frecuencia relativa (fi), es el cociente entre la frecuencia absoluta y el tamaño de la muestra (N)
                  1. Frecuencia absoluta acumulada (Ni), es el número de veces ni en la muestra N.
                    1. Frecuencia relativa acumulada (Fi), es el cociente entre la frecuencia absoluta acumulada y el total de la muestra.
                  2. se puede graficar de las siguientes maneras
                    1. Un gráfico de barras, también conocido como gráfico de columnas, es una forma de representar gráficamente un conjunto de datos o valores, y está conformado por barras rectangulares de longitudes proporcionales a los valores representados
                      1. Las gráficas circulares, también llamados gráficos de pastel, gráficos de torta o gráficas de 360 grados, son recursos estadísticos que se utilizan para representar porcentajes y proporciones
                        1. Un histograma es una representación gráfica de una variable en forma de barras, donde la superficie de cada barra es proporcional a la frecuencia de los valores representados, ya sea en forma diferencial o acumulada
                        Show full summary Hide full summary

                        Similar

                        CÁLCULO MENTAL
                        JL Cadenas
                        FRACCIONES...
                        JL Cadenas
                        FRACCIONES...
                        Ulises Yo
                        Factorización de expresiones algebraicas_1
                        Juan Beltran
                        Factorización de expresiones algebraicas_2
                        Juan Beltran
                        Sucesiones Aritméticas
                        Elaine del Valle
                        Introducción al Álgebra
                        Tulio Herrera
                        METODOS PROBABILISTICOS
                        duvan heavy
                        PROBABILIDAD CONDICIONAL
                        jeslin.guevara
                        HABILIDAD MATEMÁTICA 2019
                        Daniel Valdelamar
                        ÁREA Y LONGITUD DE ARCO
                        Erika Carolina Chuncha Ashqui