JFET

Description

Mind Map on JFET, created by Eddy Paul on 12/02/2015.
Eddy Paul
Mind Map by Eddy Paul, updated more than 1 year ago
Eddy Paul
Created by Eddy Paul almost 11 years ago
8
0

Resource summary

JFET
  1. El JFET de canal n está constituido por una barra de silicio de material semiconductor de tipo n con dos regiones Y de material tipo p situadas a ambos lados.
    1. Es un elemento tri-terminal cuyos terminales se denominan drenador, fuente y puerta .
      1. esquema de un JFET de canal n
        1. esquema de un JFET de canal n
          1. La polarización de un JFET exige que las uniones p-n estén inversamente polarizadas.
            1. En un JFET de canal n, o NJFET, la tensión de drenador debe ser mayor que la de la fuente para que exista un flujo de corriente a través de canal.
              1. Además, la puerta debe tener una tensión más negativa que la fuente para que la unión p-n se encuentre polarizado inversamente.
            2. Las curvas de características eléctricas de un JFET son muy similares a las curvas de los transistores bipolares.
              1. Por ello, en el JFET intervienen como parámetros: ID drenador , VGS tensión o puerta y VDS tensión drenador .
                1. Se definen cuatro regiones básicas de operación: corte, lineal, saturación y ruptura.
                2. Sin embargo, los JFET son dispositivos controlados por tensión a diferencia de los bipolares que son dispositivos controlados por corriente.
                3. Polarización y curvas características
                  1. Este tipo de transistor se polariza de manera diferente al transistor bipolar.
                    1. A mayor voltaje -Vgg, más angosto es el canal y más difícil para la corriente pasar del terminal drenador al terminal fuente
                      1. Al hacer un barrido en corriente directa, se obtienen las curvas características del transistor JFET.
                      2. NOTACION
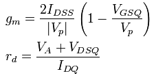
                        1. ECUACIONES Y MODELOS FUNDAMENTALES
                          1. TRANSISTOR CANAL N
                            1. TRANSISTOR CANAL P
                            2. Modelo del transistor JFET a pequeña señal
                              1. Se observa que éste funciona como una fuente dependiente de corriente controlada por el voltaje compuerta-fuente.
                                1. Para que el modelo de pequeña señal tenga validez, debe cumplirse la siguiente condición:
                                  1. Esta condición, en general es utilizada para el diseño y análisis de amplificadores, sobre todo para conocer el rango de valores en amplitud que puede soportar el amplificador en la entrada sin que haya distorsión en la señal de salida.
                                  2. La impedancia de entrada de este dispositivo es lo suficientemente alta como para no incluirla en el modelo, a diferencia de lo que ocurre con el transistor BJT.
                                2. Modelo en SPICE
                                  1. Permiten determinar el comportamiento del JFET en un rango de frecuencias más amplio, así como amplitudes de señal no necesariamente pequeñas.
                                  2. FORMULAS
                                    Show full summary Hide full summary

                                    Similar