FACTORIZACIÓN

Description

Mind Map on FACTORIZACIÓN, created by aaron.24kilates on 20/11/2013.
aaron.24kilates
Mind Map by aaron.24kilates, updated more than 1 year ago
aaron.24kilates
Created by aaron.24kilates about 12 years ago
496
2

Resource summary

FACTORIZACIÓN
  1. es
    1. UNA TRANSFORMACIÓN ALGEBRAICA
      1. cuyos casos son
        1. PRIMER CASO FACTOR COMÚN
          1. los cuales son
            1. FACTOR COMÚN MONOMIO
              1. ejemplo f.c. monomio
                1. ax+bx=x(a+b)
              2. FACTOR COMÚN POLINOMIO
                1. ejemplo f.c. polinomio
                  1. 2x(a+1)-3y(a+1)=(a+1)(2x-3y)
                2. FACTOR COMÚN POR AGRUPACIÓN
                  1. ejemplo f.c. por agrupación
                    1. ax+bx-ay-by=(ax+bx)-(ay+by)
              3. SEGUNDO CASO TRINOMIO
                1. se divide en
                  1. TRINOMIO CUADRADO PERFECTO
                    1. ejemplo trinomio cuadrado perfecto
                      1. a^2+2ab+b^2=(a+b)^2
                    2. TRINOMIO DE LA FORMA
                      1. ejemplo trinomio de la forma
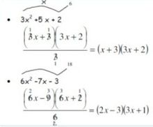
                        1. x^2+5x+6=(x+3)(x+2)
                      2. TRINOMIO DE LA FORMA CUANDO ES DISTINTO DE 0
                        1. ejemplo t.d.f. cuando es distinto de 0
                    3. TERCER CASO BINOMIOS
                      1. se ramifican en
                        1. DIFERENCIA DE CUADRADOS PERFECTOS
                          1. ejemplo
                            1. a^2-b^2=(a+b)(a-b)
                          2. SUMA Y DIFERENCIA DE CUBOS PERFECTOS
                            1. ejemplo
                              1. a^3+b^3=(a+b)(a^2-ab+b^2)
                        2. FACTORIZACIÓN POR RUFFINI
                          1. ejemplo
                    Show full summary Hide full summary

                    Similar

                    Factorización de expresiones algebraicas_2
                    Juan Beltran
                    mapa conceptual factorizacion
                    YECID SANCHEZ
                    Factorización de expresiones algebraicas_1
                    Juan Beltran
                    Factorización
                    Nancy Guzman
                    Factorización
                    maya velasquez
                    Factorización de Expresiones Algebráicas
                    maya velasquez
                    FACTORIZACION DE POLINOMIOS
                    Faber Garcia
                    Casos de Factorización.
                    Angie Paola Plazas Mavesoy
                    POLINOMIOS
                    Ramón López-Sela
                    casos de factorizacion
                    kevin amaya
                    Hoja de Trabajo Matemáticas Prof. Jose Manuel Soto
                    Jose manuel Soto