2_FLUIDOS

Description

Mind Map on 2_FLUIDOS, created by Diana Alexandra Arias Cárdenas on 13/04/2016.
Diana Alexandra Arias Cárdenas
Mind Map by Diana Alexandra Arias Cárdenas, updated more than 1 year ago More Less
Diana Alexandra Arias Cárdenas
Created by Diana Alexandra Arias Cárdenas almost 10 years ago
Frasella de martino
Copied by Frasella de martino almost 10 years ago
Diana Alexandra Arias Cárdenas
Copied by Diana Alexandra Arias Cárdenas almost 10 years ago
Frasella de martino
Copied by Frasella de martino almost 10 years ago
Diana Alexandra Arias Cárdenas
Copied by Diana Alexandra Arias Cárdenas almost 10 years ago
4
0

Resource summary

2_FLUIDOS
  1. Pueden ser
    1. Liquidos
      1. Gases
        1. Masa/Volumen
          1. Densidad
              1. Donde: p=densidad m=masa v=volumen
                1. Factores de conversión
                  1. Masa
                    1. Volumen
            1. Principales Caracteristícas
              1. No tienen forma definida
                1. Adquieren la forma del recipiente que los contiene
                  1. Al aplicar fuerzas externas sobre éstos se deforman
                    1. No poseen coeficientes de fricción cinética; solo de fricción estática
                    2. Magnitud que caracteriza las fuerzas que ejerce un fluido sobre el medio
                      1. Presión
                          1. Factores de conversión
                            1. Donde: P=Presión F=fuerza A=Area
                            2. Puede ser:
                              1. Atmosférica
                                1. Absoluta
                                  1. Nanométrica
                              2. Propiedades
                                1. 1. Un fluido en reposo no puede ejercer una fuerza paralela a una superficie.
                                  1. 2. Ley de Pascal: La presión de un fluido en reposo es la misma en todas partes
                                    1. Se desprecia la gravedad, es decir el peso del propio fluido
                                    2. 3. La presión de un fluido es la misma para todos los puntos de igual profundidad
                                      1. La diferencia de presión entre dos puntos A y B, de profundidades respectivas h1 y h2
                                    3. Dinámica de fluidos
                                      1. Estudia el movimiento de los fluidos
                                        1. Ecuación de continuidad
                                            1. Donde: V=velocidad A=Area
                                            2. Ley de Conservación de masa
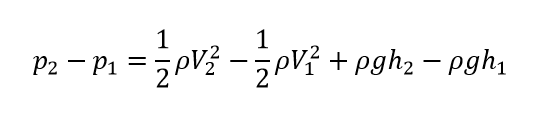
                                            3. Ecuación de Bernoulli
                                                1. Donde: P=presión V=velocidad p=densidad g=gravedad h=altura
                                                2. La energía de un fluido permanece constante al durante su recorrido
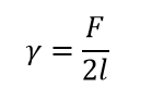
                                            4. Tensión capilar
                                              1. Solo aplica a los liquidos
                                                1. Se genera una resistencia para aumentar su superficie
                                                    1. F=fuerza y=gama l=distancia n= número de caras(2)
                                                  Show full summary Hide full summary

                                                  Similar