NOTACIÓN CIENTÍFICA

Description

Aquí verás lo que es la notación científica y sus operaciones básicas
Sergio Sebastian0332
Note by Sergio Sebastian0332, updated more than 1 year ago
Sergio Sebastian0332
Created by Sergio Sebastian0332 about 11 years ago
124
1

Resource summary

Page 1

Potencia de 10 con exponentes positivos 10^0=1 10^1=10 10^2=100 10^3=1000 10^4=10000 10^5=100000

Potencia de 10 con exponentes negativos 10^-1=0,1 10^-2=0,01 10^-3=0,001 10^-4=0,0001 10^-5=0,00001

EJEMPLOS:

En la notación científica siempre el resultado debe tener únicamente un entero diferente a 0 y las demás cifras deben ser decimales .La coma corre hacia la derecha en este caso.Esto  hace al exponente de 10, aumentar positivamente.

EJEMPLOS:

En la notación científica siempre el resultado debe tener únicamente un entero diferente a 0 y las demás cifras deben ser decimales .La coma corre hacia la izquierda en este caso.Esto  hace al exponente de 10, disminuir negativamente.

MÁS EJEMPLOS, CONVIERTE A NOTACIÓN CIENTÍFICA: 48378 = 4,8378 x 10^4 3870223= 3,870223 x 10^6 83948,29= 8,394829 x 10^4 475,2002= 4,752002 x 10^2 384,023= 3,84023 x 10^2

MÁS EJEMPLOS, CONVIERTE A NOTACIÓN CIENTÍFICA: 0,00000482= 4,82 x 10^-6 0,00348032= 3,48032 x 10^-3 0,03240= 3,24 x 10^-2 0,0023402= 2,3402 x 10^-3 0,00389= 3,89 x 10^-3

SERGIO ANDRADE TORRES

MÁS EJEMPLOS, EXPRESARLO EN FORMA DESARROLLADA: 3,189 x 10^3= 3189 4,0221 x 10^8= 402210000 9,384 x 10^2= 938,4  5,3706 x 10^5=  537060 8,324532 x 10^11= 832453200000

MÁS EJEMPLOS, EXPRESARLO EN FORMA DESARROLLADA:  5,2901  x 10^-4= 0,00052901 7,392 x 10^-3= 0,007392 3,2903 x 10^-6= 0,0000032903 8,293 x 10^-2= 0,08293 8,483 x 10^-4= 0,0008483

Multiplicación y División

Recordando que...

MULTIPLICACIÓN Primero tienes que multiplicar de forma separada los números de las potencias de 10.  Y con las potencias, sumas sus exponentes.

DIVISIÓN Primero tienes que dividir de forma separada los números y las potencias de 10 Y con las potencias, restas sus exponentes.

SUMA Y RESTA

EXPONENTES IGUALESSi tienen el mismo exponente de 10, se suman o restan los números de forma separada y la potencia de 10 se mantiene igual.

EXPONENTES DIFERENTESSi los exponentes de 10 son diferentes, se deben igualar los exponentes antes de sumar o restar.

PARA IGUALARLOS DEBES... Identificar el exponente mayor. Determinar la diferencia entre el mayor y el menor. Mover la coma hacia la izquierda, en el exponente menor, la cantidad de veces que indica la diferencia. Esa cantidad de veces se suma al exponente.

RESUELVE PARA PRACTICAR

- - - -

RESUELVE PARA PRACTICAR

- - - -

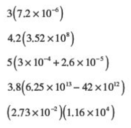
MÁS EJEMPLOS

MÁS EJEMPLOS

EJEMPLO

RESUELVE PARA PRACTICAR

RESUELVE PARA PRACTICAR

POTENCIACIÓN Y RADICACIÓN

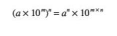
POTENCIACIÓNAl elevar un número en notación científica a un exponente dado, se elevan cada una de sus partes, como se ve a continuación.

Más ejemplos

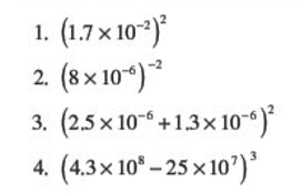
RESUELVE PARA PRACTICAR

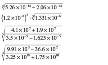
RADICACIÓN

Si quieres sacar la raíz de un número en notación científica y ves que el número, sin comas, tiene la raíz exacta del exponente. Solo procede a lo siguiente

RESUELVE PARA PRACTICAR

INTRODUCCIÓN Y CONVERSIONES

SUMA Y RESTA

MULTIPLICACIÓN Y DIVISIÓN

POTENCIACIÓN Y RADICACIÓN

Show full summary Hide full summary

Similar

Sucesiones Aritméticas
Elaine del Valle
MATEMÁTICAS: ARITMÉTICA...
Ulises Yo
Los Números Naturales
1º, 2º, 3º y 4º de Secundaria
Los Números Enteros
1º, 2º, 3º y 4º de Secundaria
Notación Científica mapa mental
arojasaci17
NOTACIÓN CIENTÍFICA
Snaider
Los Números Enteros
Olga Guerra
Sucesiones Aritméticas (Parte 2)
Elaine del Valle
Examen de la unidad No. 1 de séptimo grado del programa ESMATE
Moris Alcides Bernal Hernández
Los Números Naturales
Olga Guerra
Método del Cangrejo
iepramoncastilla