|
|
Creado por Valerie Shepherd
hace más de 11 años
|
|
| Pregunta | Respuesta |
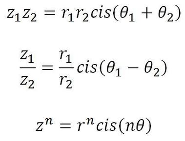
| What three equations may be derived from De Moivre's Theorum? |
Image:
De.JPG (image/JPG)
|
| What is the equation for cos(A-B)? |
Image:
COS_A-B.JPG (image/JPG)
|
| What is the equation for sin(A-B)? |
Image:
SIN_A-B.JPG (image/JPG)
|
| What is the equation for tan(A-B)? |
Image:
TAN_A-B.JPG (image/JPG)
|
| What is the equation for cos(A+B)? |
Image:
COS_A_B.JPG (image/JPG)
|
| What is the equation for sin(A+B)? |
Image:
SIN_A_B.JPG (image/JPG)
|
| What is the equation for tan(A+B)? |
Image:
TAN_A_B.JPG (image/JPG)
|
| What are the equations for cos(2A)? |
Image:
cos2A.JPG (image/JPG)
|
| What is the equation for sin(2A)? |
Image:
sin2A.JPG (image/JPG)
|
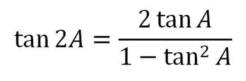
| What is the equation for tan(2A)? |
Image:
tan2A.JPG (image/JPG)
|
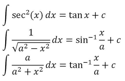
| What are the Math B integral equations? |
Image:
MAB.JPG (image/JPG)
|
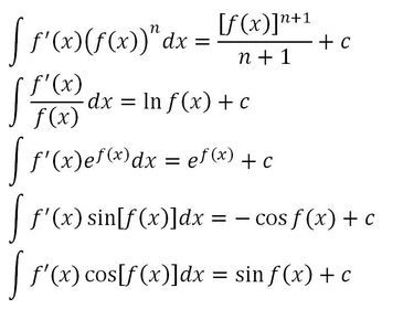
| What are the Math C integral equations? |
Image:
MAC.JPG (image/JPG)
|
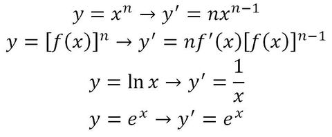
| What are the non-trigonometric derivative equations? |
Image:
Non-trig.JPG (image/JPG)
|
| What are the trigonometric derivative equations? |
Image:
Trig.JPG (image/JPG)
|
| What is the general set-out of a Leslie Matrix (3x3)? |
Image:
Leslie.JPG (image/JPG)
|
| What is the general set-out of a Markov Chain Transitional matrix (3x3)? |
Image:
Markov.JPG (image/JPG)
|
¿Quieres crear tus propias Fichas gratiscon GoConqr? Más información.