Calculus, Vectors and Structures and Patterns - Term 1, Year 12

Description

Math C (Calculus, Vectors and Structures and Patterns - Term 1) Flashcards on Calculus, Vectors and Structures and Patterns - Term 1, Year 12, created by Valerie Shepherd on 16/03/2014.
Valerie Shepherd
Flashcards by Valerie Shepherd, updated more than 1 year ago
Valerie Shepherd
Created by Valerie Shepherd almost 12 years ago
48
0

Resource summary

Question Answer
The equation of a plane is...
Simpson's Rule is...
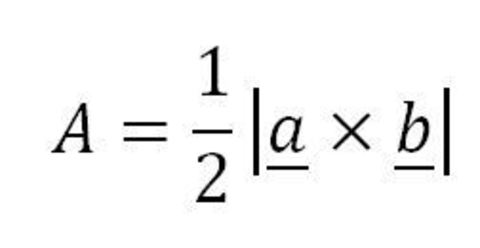
The area of a vector triangle is...
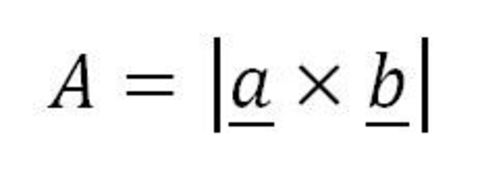
The area of a vector parallelopiped is...
The equation for New y in small differences is...
The Vector Product equation is...
The equation for the volume of a paralellopiped is...
The Dot Product equation is...
The first step of induction is... To test if true when n=1
The second step of induction is... To assume true if n=k
The third step of induction is... R.T.P. true if n=k+1
The final step of induction is... True if n=1 Therefore true if n=2, 3, 4, 5, ...
What is the equation used to find percent error in Small Differences?
Show full summary Hide full summary

Similar

Math C Revision
Shannon Hancock
Calculus, Vectors and Structures and Patterns - Term 1, Year 12
Valerie Shepherd