Equilibrio químico

Description

Universitario Química (Equilibrio químico) Flashcards on Equilibrio químico, created by Victor Rodriguez on 06/12/2014.
Victor Rodriguez
Flashcards by Victor Rodriguez, updated more than 1 year ago
Victor Rodriguez
Created by Victor Rodriguez almost 12 years ago
74
1

Resource summary

Question Answer
Las características de un equilibrio químico el equilibrio dinámico, la velocidad en ambos sentidos es la misma, y el equilibrio termodinámico, la variación de energía libre es cero DG = 0.
Ejemplos de equilibrio
Ley de acción de masas (Guldberg y Waage): Constantes de equilibrio
EQUILIBRIOS HOMOGÉNEOS Y HETEROGÉNEOS Los equilibrios homogéneos son los que tienen los reactivos y productos en la misma fase. En los heterogéneos uno o varios de los componentes del equilibrio están en distinta fase.
FACTORES QUE AFECTAN AL EQUILIBRIO La concentración (presión parcial), la presión, el volumen y la temperatura.
PRINCIPIO DE LE CHATELIER Cuando sobre un sistema en equilibrio se ejerce una acción exterior, el sistema evoluciona de tal modo que tiende a oponerse a la perturbación
Efecto del cambio de concentración (presión parcial) Si aumentamos la concentración de una especie, el equilibrio se desplaza en el sentido en el que se consume la especie añadida.
Efecto del cambio de presión y volumen Para que la presión influya en el equilibrio tiene que haber gases. Si se aumenta la presión (disminución de volumen) de un sistema en equilibrio, éste se desplaza en el sentido que disminuye el volumen (menos moles gaseosos) y viceversa
Efecto del cambio de temperatura Un aumento de la temperatura desplaza el equilibrio en el sentido en el que se absorbe calor (endotérmica), si la temperatura disminuye favorece la reacción exotérmica.
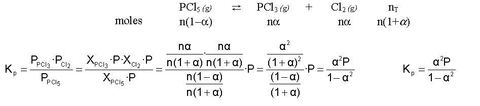
GRADO DE DISOCIACION
Show full summary Hide full summary

Similar

CIENCIAS AUXILIARES DE QUÍMICA ORGÁNICA
Luis Carrillo
Sistema Internacional de Unidades (SI)
Raúl Fox
Apuntes sobre Modelos Atómicos - Rutherford y Bohr
Raúl Fox
QUÍMICA, PASAPALABRA...
JL Cadenas
Diferencias entre la Química y Física
maya velasquez
Apuntes sobre Modelos Atómicos - Dalton y Thomson
Raúl Fox
Estructura atómica
Elvy5
CLASIFICACIÓN DE LA QUIMICA
NATALI GUSQUI
Elementos de la Tabla Periódica
Roberto Jerónimo
Nomenclatura química (Sistemas Stoke y Estequiométrico)
Marcela Fallas
TEST MATERIAL Y EQUIPO DE LABORATORIO
JORGE LEOBARDO PACHECO GAYOSSO