null
US
Sign In
Sign Up for Free
Sign Up
We have detected that Javascript is not enabled in your browser. The dynamic nature of our site means that Javascript must be enabled to function properly. Please read our
terms and conditions
for more information.
Next up
Copy and Edit
You need to log in to complete this action!
Register for Free
1038124
Elementos quimicos
Description
Estas son unas tarjetas de estudio para memorizar compuestos quimicos
No tags specified
quimica
elementos
bioelementos
tabla periodica
compuesto
Flashcards by
tekyo7
, updated more than 1 year ago
More
Less
Created by
tekyo7
over 11 years ago
217
3
0
Resource summary
Question
Answer
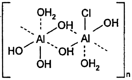
Image:
imgf000005_0001 (image/png)
HIDROXIDO DE ALUMNIO
ALUMINIO
Image:
_ndiceAA (image/jpg)
C6H12O6
GLUCOSA
Show full summary
Hide full summary
Want to create your own
Flashcards
for
free
with GoConqr?
Learn more
.
Similar
BIOELEMENTOS Y BIOMOLÉCULAS
jsgs0695
Nomenclatura química (Sistemas Stoke y Estequiométrico)
Marcela Fallas
CICLOS BIOGEOQUIMICOS
angeles empantanados
Números de oxidación de los elementos
Juan Fernando Moral Soriano
Preguntas sobre mezclas
lina maria mejia gaviria
Ciclos de los Elementos
Diego Santos
TEST REPASO BIOQUÍMICA
VICTOR MANUEL VITORIA RUIZ
TEST ESTRUCTURA ATÓMICA
VICTOR MANUEL VITORIA RUIZ
Bioquimica
Ricky Mendoza Or
nomenclatura de la química inorgánica
Rafael Sanchez
Estructura atómica. Modelos y Teorías
Jean Paul Arango
Browse Library