Numeros complejos

Description

Universitario Álgebra (Números complejos) Flashcards on Numeros complejos, created by Victor Rodriguez on 30/09/2014.
Victor Rodriguez
Flashcards by Victor Rodriguez, updated more than 1 year ago
Victor Rodriguez
Created by Victor Rodriguez over 11 years ago
60
2

Resource summary

Question Answer
Expresión Binomica Z= X + Yi X=Parte real Y=Parte imaginaria
Expresión polar
Expresión exponencial
Pasar de forma Polar a Binómica
Pasar de Binómica a Polar
Operaciones con complejos: Forma binómica 1.-Suma 2.-Potencias de i 3.-Producto de complejos 4.-Conjugado 5.-Opuesto 6.-Cociente 7.-Exponencial compleja
Suma
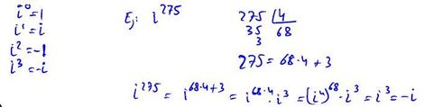
Potencias de i
Producto de complejos
Conjugado
Opuesto
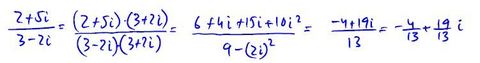
Cociente
Exponencial compleja
Operaciones con complejos: Forma polar 1.-Producto 2.-Cociente 3.-Potencia 4.-Raíz enésima 5.-Logaritmo complejo
Producto (forma polar)
Cociente (forma polar)
Potencia (forma polar)
Raíz enésima (forma polar)
Logaritmo complejo (forma polar)
Show full summary Hide full summary

Similar

Factorización de Expresiones Algebráicas
maya velasquez
Factorización de expresiones algebraicas_1
Juan Beltran
Factorización de expresiones algebraicas_2
Juan Beltran
Introducción al Álgebra
Tulio Herrera
ESTRUCTURAS ALGEBRAICAS
David Hdez
ÁLGEBRA EXAMEN EN LÍNEA
Admin telefonistas
CRIPTOGRAFÍA CON MATRICES (cifrado de Hill)
Yajhana Villa
Antecedentes históricos del algebra
Christopher Epitacio
Solucion de limites por medio de L'Hopital
OMAR GARCIA PEREZ
Algebrización de la actividad matemática en la escuela primaria
Jorge Esparza
ÁLGEBRA
JL Cadenas