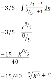
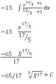
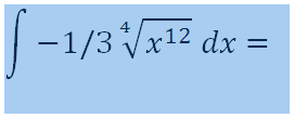
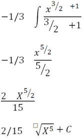
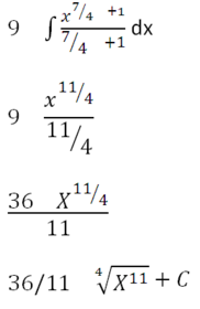
LAS INTEGRALES

Description

VINAS
Miguǝl Soosa
Flashcards by Miguǝl Soosa, updated more than 1 year ago
Miguǝl Soosa
Created by Miguǝl Soosa almost 10 years ago
6
0

Similar

ÁLGEBRA...
Ulises Yo
Ejercicios de ortografía urgente: echo, echa, hecho, hecha
Iván Jiménez
Ejercicios de ortografía urgente: haya, halla, allá
Iván Jiménez
Semejanza de Triángulos
Francisco Hayabusa
FRACCIONES. EJERCICIOS...
Ulises Yo
El Sistema Solar
Gilberto Guevara8339
Test de Conjuntos
Ariel Abad
Ejercicios ortográficos: diptongos, hiatos, tilde diacrítica
Myriam Merchan
Teorema de Pitágoras (Aplicación)
Michel Garcia
Sintagmas
Lidia F
nivel 2
Becker Freire