null
US
Sign In
Sign Up for Free
Sign Up
We have detected that Javascript is not enabled in your browser. The dynamic nature of our site means that Javascript must be enabled to function properly. Please read our
terms and conditions
for more information.
Next up
Copy and Edit
You need to log in to complete this action!
Register for Free
5676780
Fórmulas Estadística y Probabilidad
Description
Las diferentes fórmulas que podemos encontrar en los tema de estadística y probabilidad
No tags specified
matemáticas
estadística y probabilidad
3 eso
matemáticas
e.s.o.
Flashcards by
Mario Navarro Luna
, updated more than 1 year ago
More
Less
Created by
Mario Navarro Luna
over 9 years ago
92
2
0
Resource summary
Question
Answer
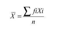
Media Aritmética
Image:
ea7aea5c-e502-46c6-b05a-63f8661ac719 (image/jpg)
Moda
Mo = > fi
Q'
Show full summary
Hide full summary
Want to create your own
Flashcards
for
free
with GoConqr?
Learn more
.
Similar
Ecuaciones (Primer Grado)
Diego Santos
Fórmulas Geométricas (Perímetros)
Diego Santos
7 Técnicas para Aprender Matemáticas
maya velasquez
Matemáticasen la VidaCotidiana
Diego Santos
FRACCIONES...
JL Cadenas
FRACCIONES...
Ulises Yo
Factorización de expresiones algebraicas_1
Juan Beltran
CÁLCULOS con [ 3 · 5 · 7 ]
JL Cadenas
Preguntas del Pensamiento Matemático
Diego Santos
Factorización de Expresiones Algebráicas
maya velasquez
Matrices y Determinantes
Diego Santos
Browse Library