BASES DE DATOS

Description

Aquí puedes encontrar toda la información sobre bases de datos.
Mr. Gami
Flashcards by Mr. Gami, updated more than 1 year ago More Less
Nicolás Andrey  Suárez Díaz
Created by Nicolás Andrey Suárez Díaz over 9 years ago
Mr. Gami
Copied by Mr. Gami almost 9 years ago
1
0

Resource summary

Question Answer
FUNDAMENTO DE BASES DE DATOS. Lleva un registro de las cosas. De lo que tu quieras, estos datos son los que permiten generar información de esas cosas.
Problemas registrados sin la utilización de una base de datos. - El dato se puede almacenar en varias partes. - Al almacenar los datos en diferentes partes la información puede alterarse y cambiar. -No hay una buena privacidad de datos.
Alquiler de archivo por el usuario.
Fichero de clientes de usuario.
Arquitectura de bases de datos. Aquí se puede observar que los datos son independientes de los programas que los utilizan.
Ventajas. 1- permite almacenar grandes volúmenes de datos, con un mínimo de datos duplicados. 2.La información almacenada en una base de datos se integra eficientemente, y no posee limitaciones impuestas por la organización de la empresa. 3.La durabilidad de una base de datos permite la recuperación de los datos a un estado estable, antes de ocurrir la falla. 4.Un Sistema de Administración de Bases de Datos permite compartir los datos de una Base de Datos sencilla y eficientemente, a una comunidad de usuarios diferentes.
Sistemas en base a archivos. Maneja los datos en función de la aplicación y del área a la que apoyaban, así como del personal que desarrollo esos sistemas.
¿Por que aparecen las bases de datos? Las bases de datos fueron la respuesta a la necesidad de atender las limitaciones y problemas que provocaron los sistemas en base a archivos.
Datos. Sirven para describir a objetos, gente, o eventos. Son la materia prima utilizada para producir información.
Características esenciales en la definición de base de datos. - Datos relacionados: los datos representan hechos, relacionados lógicamente, acerca de aspectos del mundo real que son de interés para el área que apoya una aplicación. -Datos integrados: Esta característica implica que los datos para múltiples aplicaciones se almacenan juntos, y pueden ser manipulados de igual forma por dichas aplicaciones.
Ventaja del enfoque de uso de una base de datos. - Acceso controlado. - Seguridad. - Control de la integridad. - Recuperación de los datos. - Acceso a los datos que el usuario necesite usar.
Sistema de Administración de Base de Datos. Un Sistema de Administración de Base de Datos, es de manera sencilla, software para la creación y administración de bases de datos, y sus sistemas asociados, en una computadora.
Funciones principales de un DBMS. -Creación de bases de datos. -Permitir la lectura y escritura de los datos. -Mantenimiento. -Seguridad. - Facilidad y respaldo de recuperación de los datos.
CONCEPTOS BÁSICOS SOBRE BASES DE DATOS. INTRODUCCIÓN.
Dato. Conjunto de caracteres con algún significado, pueden ser numéricos, alfabéticos, o alfanuméricos.
Información. Es un conjunto ordenado de datos los cuales son manejados según la necesidad del usuario, para que un conjunto de datos pueda ser procesado eficientemente y pueda dar lugar a información, primero se debe guardar lógicamente en archivos.
¿Que contiene una base de datos?.
¿Objetivo primordial de un sistema de bases de datos?. Proporcionar un contorno que sea a la vez conveniente y eficiente para ser utilizado al extraer, almacenar y manipular información de la base de datos.
Esquema de bases de datos. Estructura por la que esta formada las bases de datos. Se especifica mediante un lenguaje llamado lenguaje de definición de datos.
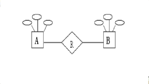
MODELO ENTIDAD - RELACIÓN. Basada en una percepción real, la cual esta formada por conceptos llamados entidades.
Entidades y conjunto de entidades Un conjunto de entidades es un grupo de entidades del mismo tipo. Una entidad se caracteriza y distingue de otra por los atributos, en ocasiones llamadas propiedades, que representan las características de una entidad.
Relaciones y conjunto de relaciones. La cantidad de entidades en una relación determina el grado de la relación.
Limitantes de mapeo. Relación uno a uno: se presenta cuando existe una relación un a uno.
Representación.
Relación uno a muchos.
Muchos a uno.
Muchas a muchas. Establece que cualquier cantidad de entidades del tipo A pueden estar relacionados con cualquier cantidad de entidades del tipo B.
Reducción de diagramas E-R a tablas. Se puede cambiar el esquema por tablas.
EJEMPLO DE REDUCCIÓN.
En tabla.
Generalización. Es el resultado de la unión de 2 o más conjuntos de entidades (de bajo nivel) para producir un conjunto de entidades de más alto nivel.
Ejemplo.
Agregación. La agregación surge de la limitación que existe en el modelado de E-R, al no permitir expresar las relaciones entre relaciones de un modelo E-R en el caso deque una relación X se quiera unir con una entidad cualquiera para formar otra relación.
EJEMPLO DE AGREGACIÓN.
OBJETIVOS DE LOS SISTEMAS DE BASES DE DATOS. Disminuir adversidades, problemas y desarrollar para el usuario una buena forma de integración, lectura, escritura y de acceso a los datos .
Sistemas orientados en los procesos de bases de datos.
Sistema orientado a las bases de datos.
Abstracción de la información. Existen diferentes niveles de abstracción para simplificar la interacción de los usuarios con el sistema; Interno, conceptual y externo, específicamente el de almacenamiento físico, el del usuario y el del programador.
Nivel físico. Es la representación del nivel más bajo de abstracción, en éste se describe en detalle la forma en como de almacenan los datos en los dispositivos de almacenamiento.
Nivel conceptual. Ddescribe que datos son almacenados realmente en la base de datos y las relaciones que existen entre los mismos, describe la base de datos completa en términos de su estructura de diseño. lo usan los administradores de bases de datos, quienes deben decidir qué información se va a guardar en la base de datos.
Nivel de visión.
Modelo relacional. Representan los datos y las relaciones entre estos, a través de una colección de tablas, en las cuales los renglones equivalen a los cada uno de los registros que contendrá la base de datos y las columnas corresponden a las características de cada registro localizado en los renglones.
Modelo de red. Representa los datos mediante colecciones de registros y sus relaciones se representan por medio de ligas o enlaces, los cuales pueden verse como punteros.  Los registros se organizan en un conjunto de gráficas arbitrarias.
Modelo jerárquico. Es similar al modelo de red en cuanto a las relaciones y datos, ya que estos se representan por  medio de registros  y sus ligas. La diferencia radica en que están organizados por conjuntos de arboles en lugar de gráficas arbitrarias.
Instancias y esquemas. Con el paso del tiempo la información que se va acumulando y desechando en la base de datos, ocasiona que está cambie.
Instancia. Al estado que presenta una base de datos en un tiempo dado. Veámoslo como una fotografía que tomamos de la base de datos en un tiempo, después de que transcurre el tiempo la base de datos ya no es la misma.
Esquema. Es la descripción lógica de la base de datos, proporciona los nombres de las entidades y sus atributos especificando las relaciones que existen entre ellos. El esquema no cambia los que varían son los datos y con esto tenemos una nueva instancia.
Respaldo y recuperación. Consiste en contar con mecanismos implantados que permitan la recuperación fácilmente de los datos en caso de ocurrir fallas en el sistema de base de datos.
Control de concurrencia. Consiste en controlar la interacción entre los usuarios concurrentes para no afectar la inconsistencia de los datos.
Seguridad e integridad. Consiste en contar con mecanismos que permitan el control de la consistencia de los datos evitando que estos se vean perjudicados por cambios no autorizados o previstos.
ESTRUCTURA GENERAL DEL SISTEMA. Se divide en módulos. Los cuales por separado realizan una actividad individual.
Los componentes funcionales de un sistema de base de datos, son: -Gestor de archivos. -Manejado de bases de datos. -Procesador de consultas. - Compilador de DDL. -Archivos de datos. -Diccionario de datos. -Indice.
Gestor de archivos. Gestiona la asignación de espacio en la memoria del disco y de las estructuras de datos usadas para representar información.
Manejado de bases de datos. Sirve de interfaz entre los datos y los programas de aplicación.
Procesador de consultas. Traduce las proposiciones en lenguajes de consulta a instrucciones de bajo nivel. Además convierte la solicitud del usuario en una forma más eficiente.
Compilador de DDL. Convierte las proposiciones DDL en un conjunto de tablas que contienen meta datos, estas se almacenan en el diccionario de datos.
Archivo de datos. En él se encuentran almacenados físicamente los datos de una organización.
Diccionario de datos. Contiene la información referente a la estructura de la base de datos.
Índices. Permiten un rápido acceso a registros que contienen valores específicos.
Ventajas de las bases de datos.
Desventajas de las bases de datos.
FIN. BASES DE DATOS.
Show full summary Hide full summary

Similar

VENTAJAS Y DESVENTAJAS DE UNA BASE DE DATOS RELACIONAL
Patricia Cualchi
Mapa conceptual SGBD
freddy diaz
BASES DE DATOS
Horst Berndt Reyes
TEST DE BASES DE DATOS
MrDadubo .
BASE DE DATOS 3
Jose WIlson Quintero Bedoya
PREGUNTAS CUESTIONARIO BASES DE DATOS
Camilo Guevara
Bases de Datos
marcos100299
BASES DE DATOS
jaime andres rojas gil
BASES DE DATOS REQUERIDA POR SISTEMA COMPUTACIONAL
lucho ibarguen
Modelo Entidad-Relacion
Fernando Mendez
UD02: Bases de datos relacionales
Paula G.R.