FICHAS DE FORMULAS

Description

CALCULO II Flashcards on FICHAS DE FORMULAS, created by Erika Carolina Chuncha Ashqui on 13/06/2017.
Erika Carolina Chuncha Ashqui
Flashcards by Erika Carolina Chuncha Ashqui, updated more than 1 year ago
Erika Carolina Chuncha Ashqui
Created by Erika Carolina Chuncha Ashqui over 8 years ago
11
0

Resource summary

Question Answer
LONGITUD DE ARCO
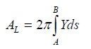
ÁREA LATERAL EN Y
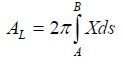
ÁREA LATERAL EN X
MOMENTO EN EL EJE X
Show full summary Hide full summary

Similar

teoria cinetica de los gases
LOGICA MATEMATIC
Tipos de discapacidad auditiva: según momento en que ocurre
Alejandro Villamizar
CONSERVACIÓN DE MAGNITUDES FÍSICAS
Francisco J. Florez A.
Esquema Gravitación
Irene Soria
EXAMEN FINAL DE FÍSICA
TIRSO MERCADO DÍAZ
MOMENTO 2
claudia ariza
ENTREVISTA DE TRABAJO IDEAL
jeinerfarfan
CAMPO ELÉCTRICO
BRYAN JACOME BAUTISTA
Momento de entrada
Nat Nuñez
Momento Explicativo Rº 9
ligda leal