|
|
Created by andiagepoint
over 12 years ago
|
|
| Question | Answer |
| Geben Sie für die nachfolgenden Kennziffern aktuelle Werte an: •1 t SKE entspricht wie viel kWh? •Jahreshöchstlast im öffentlichen Stromversorgungsnetz in Deutschland •jährlicher Primärenergiebedarf Deutschlands in t SKE •jährlicher Primärenergiebedarf weltweit in t SKE | •1tSKEb =8140 kWh •Jahreshöchstlast im öffentlichen Stromversorgungsnetz in Deutschland: 80 GW •jährlicher Primärenergiebedarf in Deutschland in t SKE: ca. 485 Mio. t SKE •jährlicher Primärenergiebedarf weltweit in t SKE: ca. 14 Mrd. t SKE |
| Wie ist etwa das Verhältnis des Verbrauchs von Primär- zu Sekundär- zu Nutzenergie in Deutschland? | •Verhältnis von Primär- zu Sekundär- zu Nutzenergie in Deutschland: 100 : 46 : 32 •Verhältnis von Primär- zu End- zu Nutzenergie in Deutschland: 3 : 2 : 1 |
| Was versteht man unter Ressourcen, Reserven und der Reichweite der Rohstoffe? | • Resourcen: Menge an Energiereserven, deren Vorhandensein bekannt, vermutet oder geschätzt ist • Reserven: Menge eines Rohstoffs, dessen Vorhandensein bekannt und abbauwürdig ist ("rentabel"). • Reichweite: berechnet aus dem aktueller jährlicher Energieverbrauch und den bekannten Reserven (Kunstbegriff; geht nicht auf Verschiebungen im Markt oder im Verbrauch ein) |
| Welchen prozentualen Anteil hat die elektrische Energie am gesamten Energieverbrauch in Industrielän- dern? | bis zu 15 % |
| Welche Vorteile haben Drehstromsysteme gegenüber einphasigen Wechselstromsystemen? (Nennen Sie zwei Vorteile.) | • Weniger Materialbedarf und Verluste durch Wegfall des Nulleiters • zwei verschiedene Spannungen können abgegriffen werden (Sternschaltung oder Dreiecksschaltung) |
| Warum erfolgt die Übertragung elektrischer Energie bei hohen Spannungen? | Energieübertragung erfolgt bei hohen Spannungen, um die Leitungsverluste zu minimieren (Pv = 1/U^2) |
| Nennen Sie die typischen Nennspannungen der verschiedenen Spannungsebenen des Elektrizitätsversor- gungssystems in Deutschland. | Verbundnetz: Höchstspannungsebene 380/220 kV Verteilnetz: Hochspannungsebene 110 kV Verteilnetz: Mittelspannungsebene 6/10/20 kV Ortsnetz: Niederspannungsebene 0,4 kV |
| Welche Vorteile bietet der nationale und internationale Verbundbetrieb? (Nennen Sie 3 Vorteile) | • Optimierung der Erzeugungskosten durch wirtschaftliche Lastverteilung auf unterschiedliche Kraft- werke • Baumöglichkeit größerer, wirtschaftlicher Kraftwerke und Freizügigkeit bei der Standortwahl • Austausch von Spotmengen und Bandlieferungen • Bereitstellung von Netzreserve bei Netzüberlastung oder Netzausfällen • Übertragung von Reserveleistung bei Störungen oder Erzeugungsmangel |
| Skizzieren Sie den schematischen Aufbau eines konventionellen Dampfkraftwerks (Grundschaltplan) | |
| Was wird in Zusammenhang mit thermischen Kraftwerken als Kraftwerksblock bezeichnet? | Eine Kombination aus einem Dampferzeuger mit Turbinensatz und Generator. |
| Was versteht man unter dem Maschinensatz eines Kraftwerks? | Der Maschinensatz eines Kraftwerks ist die Kombination aus Turbine und Generator. |
| Erläutern Sie den Unterschied zwischen einem Kernkraftwerk mit Siede- bzw. Druckwasserreaktor. | Siedewasser und Druckwasserreaktoren sind beides Leichtwasserreaktoren. Die Unterschiede: Siedewasserreaktor: Dampf wird bereits im Reaktor erzeugt und direkt auf die Dampfturbine geleitet () größerer Kontrollbereich nötig, da die Turbine mit radioaktivem Material in Berührung kommt) Druckwasserreaktor: Wasser wird im Reaktor erhitzt, verdampft aber aufgrund des großen Drucks (ca. 16 MPa = 160 bar) nicht. Über einen Wärmetauscher gelangt die Energie in einen Sekundärkreislauf, in Dampf mit geringerem Druck (ca. 6 MPa = 60 bar) erzeugt wird. |
| Was versteht man unter einem GuD-Kraftwerk? Welchen Wirkungsgrad erreichen GuD-Kraftwerke? | GuD-Kraftwerk = Gas- und Dampfkraftwerk. Die Abgase des Gaskraftwerks (nach der Turbine) werden über einen Wärmetauscher in einen Dampfkraftprozess übertragen. Das führt zu einem Wirkungsgrad von 50 bis 60 %. |
| Was versteht man unter Kraft-Wärme-Kopplung? Welchen Gesamtwirkungsgrad erreichen solche Kraft- werke? | Kraftwerk mit Kraft-Wärme-Kopplung (Heizkraftwerk): Der Abdampf eines Dampfkraftwerks wird weiter- verwendet, um über einen Wärmetauscher Wasser in einem zweiten Kreislauf zu erwärmen, beispielsweise um es zur Fernwärmeversorgung zu verwenden. Der Gesamtwirkungsgrad beträgt so 70 bis 90 %. |
| Nennen Sie drei Turbinentypen für Wasserkraftwerke und ihre Einsatzbereiche (Fallhöhe). Welcher Tur- binentyp ist auch für Pumpbetrieb geeignet? | Kaplan-Turbine (Propellerturbine): Fallhöhen bis 60 m Francis-Turbine: Fallhöhe zwischen 40 und 400 m. Auch für Pumpbetrieb verwendbar! Pelton-Turbine (Freistrahlturbine): Fallhöhe mehr als 200 m |
| Kann man durch einen Windpark mit 300 MW Bemessungsleistung ein konventionelles Kraftwerk gleicher Leistung ersetzen? Begründen Sie Ihre Aussage. | Nein, da die Windenergie nicht planbar ist und die Ausnutzungsdauer pro Jahr häufig sehr viel geringer als bei konventionellen Kraftwerken (max. ca. 3000h von 8760h/Jahr = 30%) |
| Benennen Sie drei Leistungsbereiche, die den Einsatz und die Ausnutzungsdauer von Kraftwerken charak- terisieren. Ordnen Sie jedem Leistungsbereich einen geeigneten Kraftwerkstyp zu. | Grundlastkraftwerke: Laufwasser-, Braunkohle- oder Kernkraftwerke Mittelleistungskraftwerke: Steinkohlekraftwerke Spitzenleistungskraftwerke: Speicher- und Pumpspeicherkraftwerke, reine Gasturbinenkraftwerke |
| Skizzieren Sie eine typische Tages-Lastganglinie des Bedarfs an elektrischer Leistung in Deutschland und konstruieren Sie daraus die zugehörige Tages-Dauerlinie. Welcher Zusammenhang besteht zwischen Nennbetriebsdauer T n , Ausnutzungsdauer T a , Benutzungsdauer T ben , maximaler und mittlerer Last P max bzw. P mittel | |
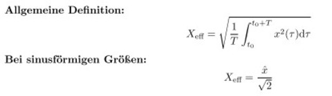
| Wie ist der Effektivwert einer periodisch veränderlichen Größe x(t) mit der Periodendauer T definiert? Welcher Zusammenhang besteht zwischen dem Effektivwert und dem Scheitelwert speziell bei sinusförmi- gen Größen? | |
| Wie ist der Phasenverschiebungswinkel zwischen Strom und Spannung definiert? | |
| Welche Funktion hat der Drehoperator a und wie ist er im symmetrischen Drehstromsystem definiert? | |
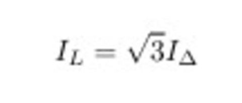
| In welchem Verhältnis stehen die Beträge der Strangströme eines Verbrauchers in Dreieckschaltung I zu den Außenleiterströmen I L ? | |
| Vergleichen Sie Stern- und Dreieckschaltugn eines symmetrischen ohmschen Verbrauchers im Drehstrohm- system: • Wie ist das Verhältnis der Leistungsaufnahme bei gleichen Lastwiderständen? • In welchem Verhältnis müssen die Lastwiderstände stehen, damit gleiche Leistung aufgenommen wird? | |
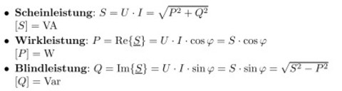
| Wie ist in einem einphasigen Wechselstromsystem die Schein-, Wirk- und Blindleistung definiert und mit welchen Einheiten werden sie bezeichnet? | |
| Geben Sie die Formeln für die Berechnung der Schein-, Wirk- und Blindleistung in einem symmetrischen Drehstromsystem an. | |
| Welche Verluste treten beim Betrieb von technischen Transformatoren auf und wodurch werden sie ver- ursacht? | |
| Ein Transformator arbeite als Netzkuppeltransformator zwischen dem Höchstspannungsnetz und dem Hochspannungsnetz mit den jeweiligen Nennspannungen 380 kV und 110 kV. Zeichnen Sie das vereinfachte einphasige Ersatzschaltbild eines technischen Drehstromtransformators bei Betrieb mit Bemessungsstrom. Beschriften und benennen Sie die einzelnen Bestandteile des Ersatzschaltbildes und zeichnen Sie die an den Klemmen des Ersatzschaltbildes wirksamen Spannungen ein. | |
| Beschreiben Sie in Stichworten, wie die Kurzschlussspannung eines Transformators ermittelt wird. | Der Transformator wird an der Unterspannungsseite kurzgeschlossen (U 2 = 0) und dann die Oberspannung U 1 so lange erhöht, bis der Bemessungsstrom I r fließt. |
| Zeichnen Sie für eine Gleichstromnebenschlussmaschine das Ersatzschaltbild für den stationären Betrieb und geben Sie die Gleichung für den Zusammenhang zwischen Drehzahl, Drehmoment und Klemmenspan- nung an. Leiten Sie daraus ab, durch welche Maßnahmen die Leerlaufdrehzahl und das Anlaufmoment wie beeinflusst werden können. | |
| Zeichnen Sie für die Gleichstromreihenschlussmaschine die Drehzahl-Drehmoment-Kennlinie. Was ge- schieht, wenn eine Gleichstromreihenschlussmaschine ohne mechanische Last an das Netz geschaltet wird? | |
| Was versteht man unter einem „Drehfeld“ im Zusammenhang mit elektrischen Maschinen? | Ein Drehfeld ist die räumlich sinusförmige Verteilung der magnetischen Induktion im Luftspalt einer elektrischen Maschine, die gegenüber dem Ständer umläuft. |
| Welche zwei Arten von Synchronmaschinen kann man hinsichtlich der Bauert unterscheiden und wo werden diese jeweils bevorzugt eingesetzt? | • Schenkelpolmaschine: Verwendung hauptsächlich in Wasserkraftwerken, da die Drehzahl auf ca. 1000 U/min beschränkt ist (ansonsten zu hohe Fliehkräfte wegen großer Durchmesser der Läufer). • Vollpolmaschine (Turboläufer): Verwendung in Gas- oder Dampfturbinenkraftwerken, da dort eine hohe Drehzahl erwünscht ist. Geringerer Läuferdurchmesser, aber länger. |
| Zeichnen Sie das einphasige Ersatzschaltbild einer Synchronmaschine für den stationären Betrieb. | |
| Was versteht man unter einer über- bzw. untererregten Synchronmaschine? Wie wirken diese jeweils am Netz? | |
| Zeichnen Sie ein Zeigerdiagramm (Spannungs- und Stromzeiger) einer ohmsch-kapazitiv belasteten Syn- chronmaschine im Erzeugerzählpfeilsystem (EZS). | |
| Wie werden bei einer Synchronmaschine die Blindleistungsabgabe und die Wirkleistungsabgabe einge- stellt? | • Blindleistungsabgabe: Einstellung über den Erregerstrom • Wirkleistungsabgabe: Einstellung durch die dem Läufer zur Verfügung gestellte Wirkleistung |
| Zeichnen Sie die Drehzahl-Drehmoment-Kennlinie einer Synchronmaschine. Was sagt diese aus? | |
| Mit welcher Drehzahl n dreht sich ein Synchrongenerator mit der Polpaarzahl p = 5 im 50 Hz- Drehstromnetz? | |
| Warum weicht die Drehzahl einer Asynchronmaschine im Normalbetrieb von der synchronen Drehzahl ab? | Bei gleicher Läufer- und Drehfelddrehzahl wird der Läufer von einem konstanten Magnetfeld durchsetzt. Dadurch würde keine Spannung im Läufer induziert und somit kein Drehmoment an der Welle anliegen. Es muss also eine Relativbewegung des Läufers zum Drehfeld vorhanden sein, um ein Moment zu erzeugen. |
| Zeichnen Sie die Drehzahl-Drehmoment-Kennlinie einer Asynchronmaschine, tragen Sie die charakteristi- schen Kenngrößen ein und benennen Sie diese. | |
| Wie ist der Schlupf einer Asynchronmaschine definiert? Geben Sie die Formel für die Definition des Schlupfs und benennen Sie die verwendeten Formelzeichen. | |
| Welchen Einfluss haben bei einer Asynchronmaschine die Klemmenspannung und deren Frequenz auf die Drehzahl und das maximal zur Verfügung stehende Drehmoment im stationären Betrieb? | |
| Was muss beachtet werden wenn eine Asynchronmaschine oberhalb ihrer Bemessungsfrequenz betrieben wird und wie verändert sich dabei die Drehzahl-Drehmoment-Kennlinie? Wie nennt man diesen Bereich? | |
| Wie sind üblicherweise die Leiterseile von Hochspannungsfreileitungen aufgebaut (Begründung)? | Es werden Aluminium-Stahl-Seile verwendet. In der Mitte befindet sich eine Stahlseele haben, die um- geben ist von Aluminiumdrähten (etwa im Querschnittsverhältnis Aluminium:Stahl 6:1). Dies erhöht die Zugbelastbarkeit der Seile. |
| Weshalb verwendet man für Hochspannungsfreileitungen Bündelleiter? | Es werden Bündelleiter verwendet, um die maximal zulässige Randfeldstärke von 17 kV e↵ /cm nicht zu überschreiten (ansonsten verursachen Koronaentladungen hochfrequente Störungen). |
| Was versteht man im Zusammenhang mit den elektrischen Kenngrößen einer Leitung unter den Leitungs- belägen? Nennen Sie drei Leitungsbeläge. | |
| Wie errechnen sich der Betriebswellenwiderstand Z w und die Phasenkonstante einer verlustlosen Leitung aus den Leitungsbelägen? | |
| Nennen Sie für eine verlustlose 110-kV-Freileitung die Richtwerte für die längenbezogene Betriebsreaktanz, die längenbezogene Betriebsadmittanz und den Betriebswellenwiderstand. | |
| Wie ist die natürliche Leistung einer Drehstromleitung definiert? Was kennzeichnet diesen Betriebszu- stand? | |
| Zeichnen Sie in der komplexen Ebene die Zeiger der Spannungen und Ströme jeweils am Anfang und am Ende einer Leitung im natürlichen Betrieb. | |
| Was geschieht, wenn über eine Leitung P 2 < P nat (oder P 2 > P nat ) übertragen wird? Wie kann man dem entgegenwirken? Nennen Sie Vor- und Nachteile der beiden möglichen Maßnahmen. | |
| Für welche Anwendungen werden HGÜ-Anlagen eingesetzt? Worin liegen jeweils die Vorteile? | |
| Welche Kriterien bestimmen die Auswahl der Netzstruktur von Energieversorgungsnetzen? | • Lastdichte • angestrebte Versorgungszuverlässigkeit • Wirtschaftlichkeit |
| Nennen Sie die 4 typischen Netzstrukturen von elektrischen Energieversorgungsnetzen. | • Strahlennetz • Ringnetz • verzweigtes Ringnetz • Maschennetz |
| Skizzieren Sie die Schaltung für einen typischen Abzweig in einer Schaltanlage mit Doppelsammelschiene und benennen Sie die Betriebsmittel. | |
| Welche Aufgabe haben Trennschalter und welche Aufgabe haben Leistungsschalter in Schaltanlagen? | |
| Erläutern Sie die Begriffe Isolation, Isolierung und Isolator. | • Isolation: Grad der galvanischen Trennung leitender Teile • Isolierung: technische Realisierung einer Isolation • Isolator: Stoff an sich |
| Skizzieren Sie den Verlauf der elektrischen Feldstärke zwischen den Elektroden eines homogenen und eines inhomogenen elektrischen Feldes? | |
| Wodurch unterscheidet sich ein schwach inhomogenes von einem stark inhomogenen elektrischen Feld? | |
| Wie ist der Homogenitätsgrad eines elektrischen Feldes definiert? | |
| Wie groß ist die innere elektrische Festigkeit von Luft bei atmosphärischen Bedingungen? | |
| Erläutern Sie den Unterschied zwischen einem Durchschlag und einem Überschlag am Beispiel eines Iso- lators (Skizze oder Stichworte). | |
| Wie hoch ist der Richtwert für den mittleren spezifischen Spannungsbedarf für den Durchschlag (Streamer- entladung) einer Stab-Platte-Anordnung bei positiver und bei negativer Polarität an der Stabelektrode? | |
| Was versteht man unter einem Kriechweg? | Weg des Stroms entlang der Isolatoroberfläche beim Überschlag |
| Was versteht man unter einer selbstheilenden Isolierung? | Isolierung, die nach einem Durchschlag ihr Isoliervermögen vollständig wiedererlangt. |
| Skizzieren Sie den zeitlichen Verlauf einer Blitzstoßspannung, tragen Sie die Kennwerte ein und geben Sie deren Werte für die genormte Blitzstoßspannung an. | |
| Skizzieren Sie eine Schaltung zur Erzeugung von Blitzstoßspannungen. | |
| Skizzieren Sie eine Schaltung zur Erzeugung stationärer Lichtbogen mit Gleichspannung. Erläutern Sie mittels der entsprechenden Kennlinien den stabilen Arbeitspunkt eines stationären Gleichstromlichtbo- gens. | |
| Beschreiben Sie das Prinzip einen Gleichstromlichtbogen zu löschen und nennen Sie drei Methoden. | |
| Aus welchen Komponenten besteht ein komplettes Antriebssystem? | |
| Was sagt die thermische Klasse einer elektrischen Maschine aus? | Die thermische Klasse gibt die angemessene Höchsttemperatur unter der angenommenen Belastung und sonstigen Bedingungen an. |
| Weshalb definiert man für elektrische Maschinen verschiedene Betriebsarten (S1 - S10)? | Die Erwärmung einer elektrischen Maschine ist ein wesentliches Kriterium für deren Bemessung. Da elek- trische Maschinen häufig nicht auf Dauer mit konstanter Leistung betrieben werden, und damit unter Umständen bei Betrieb mit Bemessungsgrößen nicht die Bemessungstemperatur erreichen, wäre die grund- sätzliche Auslesung elektrischer Maschinen auf Dauerbelastung mit Bemessungsgrößen unwirtschaftlich. |
| Stellen Sie die Unterschiede der Betriebsarten S1, S2 und S3 anhand einer Skizze des zeitlichen Verlaufs der Belastung und der Übertemperatur dar. | |
| Was versteht man unter einem Stellglied? | Unter einem Stellglied versteht man die gerätetechnische Vorrichtung zur Veränderung der Stellgröße. |
| In welche drei für die Energietechnik wesentlichen Gruppen kann man elektronische Schalter einteilen. Welche grafischen Symbole werden dafür in Schaltplänen verwendet? Nennen Sie je ein elektronisches Bauelement als Beispiel. | |
| Nennen Sie die 4 Grundtypen von Stromrichtern, und zeichnen Sie die Richtung der Energieflüsse zwischen den jeweils beteiligten Energiesystemen. | |
| Zeichnen Sie den Schaltplan einer Einweggleichrichterschaltung mit ohmscher Last und skizzieren Sie die prinzipiellen Spannungsverläufe, wenn für die Schaltung die folgenden elektronischen Ventile verwendet werden: Diode, Thyristor mit Steuerwinkel 30 . | |
| Skizzieren Sie die Grundschaltung eines Tiefsetzstellers für ohmsch-induktive Lasten. Welche grundsätz- lichen Steuerverfahren gibt es? | |
| Von welchen zwei Faktoren hängt bei gegebenem Stromweg durch den menschlichen Körper die Gefahr für Personen hauptsächlich ab? | Größe und Dauer des Stromflusses |
| Wo liegt die vereinbarte Grenze der Berührungsspannung bei Wechsel- und Gleichspannung nach DIN VDE 01000 und welcher Körperwiderstand wird bei der Bestimmung angesetzt? | |
| Was versteht man unter dem Basisschutz? Nennen Sie 3 Beispiele für die Realisierung von Basisschutz. | |
| Erläutern Sie die Funktion eines Fehlerstromschutzschalters. | |
| Zeichnen Sie eine Skizze des Druckwasserreaktors. | |
| Zeichnen Sie eine Skizze des Siedewasserreaktors. | |
| Zeichnen Sie eine Skizze des GuD Kraftwerks. | |
| Zeichnen Sie eine Skizze des KWK-Kraftwerks. | |
| Zeichnen Sie eine Skizze eines Solarthermischen Kraftwerks. | |
| Zeichnen Sie eine Skizze eines Photovoltaik-Moduls. | |
| Zeichnen Sie den Aufbau einer Brennstoffzelle. |
Want to create your own Flashcards for free with GoConqr? Learn more.