|
|
Created by lola_smily
almost 11 years ago
|
|
| Question | Answer |
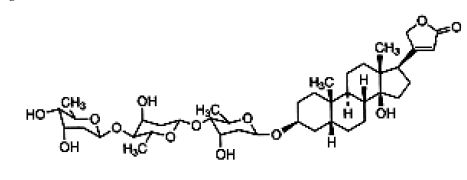
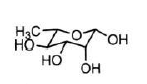
| beta-D-Digitoxose sugar moiety of cardiac glycoside | |
| beta-D-Glucose sugar moiety of cardiac glycoside | |
| beta-L-Rhamnose sugar moiety of cardiac glycoside | |
| beta-D-Cymarose sugar moiety of cardiac glycoside | |
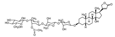
| digitoxigenin non sugar aglycone moiety of cardiac glycoside steroid structure cyclopentanoperhydrophenanthrene cardenolide (5 membered lactone ring) planr source | |
| digoxigenin non sugar aglycone moiety of cardiac glycoside steroid structure cyclopentanoperhydrophenanthrene more polar | |
| strophanthidin non sugar aglycone moiety of cardiac glycoside steroid structure cyclopentanoperhydrophenanthrene | |
| gitoxigenin non sugar aglycone moiety of cardiac glycoside steroid structure cyclopentanoperhydrophenanthrene | |
| ouabagenin non sugar aglycone moiety of cardiac glycoside steroid structure cyclopentanoperhydrophenanthrene | |
| bufadienolide non sugar aglycone moiety of cardiac glycoside steroid structure cyclopentanoperhydrophenanthrene 6 membered lactone ring animal source | |
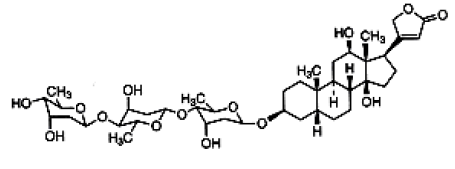
| lanatoside A cardiac glycoside digitalis lanata digitoxigenin+glucose-3-acetyl(digitoxose)3 | |
| digitoxin cardiac glycoside | |
| digoxin cardiac glycoside | |
| ouabain cardiac glycoside very polar not clinically used | |
| inamrinone positive inotropic agents phosphodiesterase enzyme inhibitor thrombocytopenia metabolized in liver | |
| milrinone positive inotropic agents phosphodiesterase enzyme inhibitor more potent less toxic unchanged excretion | |
| dobutamine positive inotropic agents beta 1-adrenoceptor agonists inactive orally and given IV | |
| nitric-nitrate nitrovasodilator organic nitrate | |
| nitrous-nitrite nitrovasodilator organ nitrite | |
| amyl nitrite antianginal agent nitrovasodilator prodrug isopentyl nitrite give inactive metabolite volatile at RT most rapid onset/short duration of action insoluble in water/miscible with organic solvents | |
| glyceryl trinitrate (nitroglycerin) antianginal agent nitrovasodilator prodrug explosive in dynamite colorless oil volatile skin absorption | |
| erythrityl tetranitrate antianginal agent nitrovasodilator prodrug solid slightly water soluble more soluble in organic solvents slower onset/long duration of action low volatility | |
| pentaerythritol tetranitrate antianginal agent nitrovasodilator prodrug crystalline weakly insoluble in alcohol readily soluble in acetone powerful explosive | |
| isosorbide dinitrate antianginal agent nitrovasodilator prodrug solid water soluble give active metabolite (100% bioavailable) | |
| nifedipine antianginal calcium channel blocker DHP orally active/ metabolized decrease afterload reflex tachycardia | |
| amlodipine antianginal calcium channel blocker DHP orally active/ metabolized decrease afterload reflex tachycardia bioavailability: 60-90% DOA: 24h | |
| nicardipine antianginal calcium channel blocker DHP orally active/ metabolized decrease afterload reflex tachycardia | |
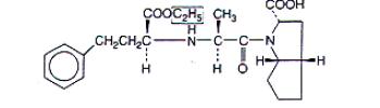
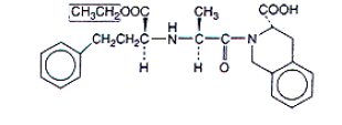
| verapamil antianginal calcium channel blocker non DHP/ phenylalkylamine orally active/ metabolized by CYP3A4 and CYP2D6 decrease HR - inotropic, chronotropic, dromotropic | |
| bepiridil antiangina calcium channel blocker non DHP/ diarylaminopropylaminoether rarely used | |
| diltiazem antianginal calcium channel blocker non DHP/ benzothiazepine orally active/ metabolized by hydrolysis decrease HR - inotropic, chronotropic, dromotropic | |
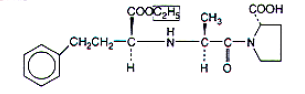
| noverapamil metabolite of verapamil by N-demethylation 30-50% active as parent drug | |
| desacetyldiltiazem metabolite of diltiazem by hydrolysis of ester 30-50% active as parent drug | |
| dipyridamole antianginal coronary vasodilator antiplatelet activity non selective so rarely used | |
| papaverine antianginal coronary vasodilator orally active antispasmotic non selective so rarely used | |
| cyclandelate antianginal coronary vasodilator non selective so rarely used | |
| MPPP (designer heroin) active opioid agonist reversed ester of meperidine phenylpiperidine synthetic analgesics | |
| nisentil (alpha-prodine) phenylpiperidine synthetic analgesics | |
| demerol (meperidine) active opioid agonist phenylpiperidine synthetic analgesics | |
| MPTP N-methyl-4-phenyl-1,2,3,6-tetrahydropyridine byproduct of MPPP metabolized orally/IV/inhalation by MAO-B lead to parkinsonism | |
| MPP+ 1-methyl-4-phenylpyridinium toxic irreversible damage of DA neurons metabolite of MPTP | |
| benztropine mesylate anticholinergic (antimuscarinic) agent synthetic centrally acting limited use given with dopaminergic therapy severe central and peripheral side effects | |
| trihexyphenidyl hydrochloride anticholinergic (antimuscarinic) agent synthetic centrally acting limited use given with dopaminergic therapy severe central and peripheral side effects salt/pH dependent | |
| procyclidine hydrochloride anticholinergic (antimuscarinic) agent synthetic centrally acting limited use given with dopaminergic therapy severe central and peripheral side effects salt/pH dependent | |
| biperiden hydrochloride anticholinergic agent synthetic salt pH dependent | |
| diphenhydramine hydrochloride antihistamine | |
| orphenadrine hydrochloride antihistamine centrally acting limited use given with dopaminergic therapy severe central and peripheral side effects | |
| L-DOPA levo dihydroxyphenylalanine precursor of dopamine absorbed in GI and enters brain by active transport less basic given orally alone 1-3% to brain with carbidopa 10% | |
| dopamine 3,4-dihydroxyphenylethylamine highly basic (doesn't cross the brain) rapidly metabolized | |
| 3-methoxy-4-hydroxy phenylalanine metabolite of L-DOPA by COMT | |
| 3,4-dihydroxyphenylacetic acid metabolite of dopamine by MAO | |
| vanillylmandelic acid (VMA) final metabolite of L-DOPA | |
| carbidopa decarboxylase inhibitor delivers more L-DOPA to brain acts peripherally doesn't cross the BBB | |
| selegiline first generation irreversible MAO-B inhibitor orally metabolized gives metamphetamine side effect: vasoconstriction, hallucination | |
| rasagiline second generation irreversible MAO-B inhibitor orally metabolized to 1-aminoindan no side effects | |
| tolcapone reversible non specific COMT inhibitor long acting (8-12h) centrally and peripherally acting nausea, hallucination hepatic failure | |
| entacapone reversible non specific COMT inhibitor short acting (2h) mostly peripherally nausea,hallucination | |
| amphetamine metabolite of metamphetamine (metabolite of selegiline) causes side effects of selegiline | |
| metamphetamine metabolite of selegiline | |
| amantadine primary amine admantane derivative dopamine releasing agent inhibit dopamine reuptake protonated/lipophilic less potent short lived benefits (few weeks) reversible side effects: insomnia hallucination, depression, confusion, agitation | |
| Memantine admantane derivative dopamine releasing agent inhibit dopamine reuptake | |
| quinidine antiarrhythmic class 1A alkaloid (cinchona bark) basic hepatic metabolism/unchanged renal excrection for supraventricular tachycardia inhibit renal excretion of digoxin - inotropic/anticholinergic act/peripheral alpha adrenergic SE: GI disturbances | |
| o-demethylquinidine metabolite of quinidine active by partial hepatic metabolism | |
| oxydihydroquinidine metabolite of quinidine active by partial hepatic metabolism | |
| procainamide antiarrhythmic class 1A from procaine gd GI absorbance (70-80% biovailability) liver metabolism unchanged renal excretion for ventricular tachycardia SE: lupus syndrome (20-30%) | |
| n-acetylprocainamide metabolite of procainamide active | |
| p-aminobenzoic acid metabolite of procainamide | |
| metabolite of procainamide | |
| disopyramide antiarrhythmic class 1A phosphate salt rapid and highly GI absorbance liver metabolism (50%)-> active(n-deacetylation) renal excretion (50%) for ventricular and atrial arrhythmias SE: anticholinergic effects | |
| lidocaine antiarrhythmic class 1B local anesthetic first pass metabolism (n-dealkylation) SE: emesis, convulsion | |
| monoethylxylidine metabolite of lidocaine give glycine xylidide active CNS effect | |
| metabolite of lidocaine | |
| metabolite of lidocaine | |
| tocainide antiarrhythmic class 1B orally active/ absorbed (bcz of alpha methyl) slow metabolism for emergency ventricular arrhythmias SE: GI disturbance, CNS effects | |
| mexiletine antiarrhythmia class 1B xylyloxy and ethylamine derivative hydrolysis --> ether given orally and IV renal, hepatic elimination like lidocaine and tocainamide p-hydroxylation and hydroxymethylation (inactive) | |
| phenytoin antiarrhythmia class 1B anticonvulsant orally active IV use p-hydroxylation (inactive) for atrial and ventricular arrhythmias | |
| flecainide antiarrhythmia class 1C fluorinated benzamide derivative acetate form oral absorption liver metabolism (50%)--> m-O-dealkylation (active) SE: aggravation of arrhythmias, blurred vision, headache, nausea, GI disturbance | |
| propafenone antiarrhythmic class 1C local anesthetic orally, IV GI absorption hepatic metabolism by CYP2D6 | |
| moricizine antiarrhythmia class 1C phenothiazine orally short half-life but effect lasts hours (active metabolite) | |
| encainide antiarrhythmia class 1C not used | |
| ibutilide antiarrhythmic class 3 methanesulfonanilide derivative no beta adrenergic blocking activity only by IV infusion | |
| bretylium tosylate antiarrhythmic class 3 adrenergic neuronal blocking agent antihypertensive given IV for life threatening cases of ventricular arrhythmia | |
| amiodarone antiarrhythmia class 3 coronary vasodilator iodine containing agent--> affect thyroid hormone activity (hypo and hyperthyroidism) t1/2 = 25d (very long) for life threatening ventricular arrhythmia | |
| dofetilide antiarrhythmic class 3 bis-methanesulfonanilide derivative more potent GI absorbtion (96-100% bioavailability) protein binding 60-70% metabolized by CYP3A4 (dealkylation, n-oxydation)--> inactive unchanged excretion (80%) | |
| Sotalol antiarrhythmic class 3 methanesulfonanilide derivative non selective beta blocker | |
| verapamil antiarrhythmic class 4 slows phase 4 slow SA node firing and conduction to AV node | |
| diltiazem antiarrhythmic class 4 slows phase 4 slow SA node firing and conduction to AV node | |
| benazepril RAS inhibitor ACEI prodrug active undergoes glucuronidation DOA= 24h renal excretion SE: hypotension, hyperkalemia,dry cough, taste disturbance, headache, nausea, diarrhea, angioedema, acute renal failure | |
| moexipril RAS inhibitor ACEI prodrug active renal, fecal excretion DOA= 24h SE: hypotension, hyperkalemia,dry cough, taste disturbance, headache, nausea, diarrhea, angioedema, acute renal failure | |
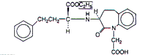
| captopril RAS inhibitor ACEI active renal excretion DOA= 6-12h gd lipid solubility acidic gives dimer SE: hypotension, hyperkalemia,dry cough, taste disturbance, headache, nausea, diarrhea, angioedema, acute renal failure | |
| perindopril RAS inhibitor ACEI prodrug active renal excretion DOA= 24h SE: hypotension, hyperkalemia,dry cough, taste disturbance, headache, nausea, diarrhea, angioedema, acute renal failure | |
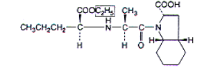
| enalapril RAS inhibitor ACEI prodrug active hepatic metabolism renal excretion DOA= 24h SE: hypotension, hyperkalemia,dry cough, taste disturbance, headache, nausea, diarrhea, angioedema, acute renal failure | |
| enalaprilat RAS inhibitor ACEI active given IV gd lipid solubility renal excretion DOA= 6h SE: hypotension, hyperkalemia,dry cough, taste disturbance, headache, nausea, diarrhea, angioedema, acute renal failure | |
| quinapril RAS inhibitor ACEI prodrug active renal excretion DOA= 24h SE: hypotension, hyperkalemia,dry cough, taste disturbance, headache, nausea, diarrhea, angioedema, acute renal failure | |
| fosinopril sodium RAS inhibitor ACEI prodrug active acidic renal, hepatic excretion DOA= 24h SE: hypotension, hyperkalemia,dry cough, taste disturbance, headache, nausea, diarrhea, angioedema, acute renal failure | |
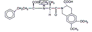
| ramipril RAS inhibitor ACEI prodrug active do glucuronidation, cyclization-> inactive renal excretion DOA= 24h SE: hypotension, hyperkalemia,dry cough, taste disturbance, headache, nausea, diarrhea, angioedema, acute renal failure | |
| lisinopril RAS inhibitor ACEI active gd lipophilicity renal excretion DOA= 24h SE: hypotension, hyperkalemia,dry cough, taste disturbance, headache, nausea, diarrhea, angioedema, acute renal failure | |
| trandolapril RAS inhibitor ACEI prodrug active renal,fecal excretion DOA= 24h SE: hypotension, hyperkalemia,dry cough, taste disturbance, headache, nausea, diarrhea, angioedema, acute renal failure | |
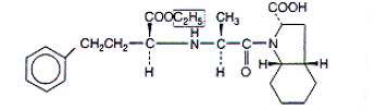
| disulfide dimer metabolite of captopril inactive | |
| captopril cysteine disulfide metabolite of captopril inactive | |
| glucuronide conjugate metabolite of benazepril | |
| diketopiperazine metabolite metabolite of ramapril inactive | |
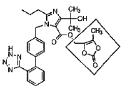
| valsartan RAS inhibitor angiotensin 2 receptor blocker (ARB) competitive antagonist tetrazol derivative orally active renal elimination SE: same as ACEI but no dry cough, taste disturbances, angioedema | |
| irbesartan RAS inhibitor angiotensin 2 receptor blocker (ARB) competitive antagonist tetrazol derivative orally active fecal, renal elimination SE: same as ACEI but no dry cough, taste disturbances, angioedema | |
| telmisartan RAS inhibitor angiotensin 2 receptor blocker (ARB) competitive antagonist orally active fecal elimination SE: same as ACEI but no dry cough, taste disturbances, angioedema | |
| losartan RAS inhibitor angiotensin 2 receptor blocker (ARB) competitive antagonist tetrazol derivative orally active metabolized into active fecal, renal elimination SE: same as ACEI but no dry cough, taste disturbances, angioedema | |
| candesartan cilexetil RAS inhibitor angiotensin 2 receptor blocker (ARB) competitive antagonist tetrazol derivative prodrug metabolized into active fecal, renal elimination SE: same as ACEI but no dry cough, taste disturbances, angioedema | |
| olmesartan medoxomil RAS inhibitor angiotensin 2 receptor blocker (ARB) competitive antagonist tetrazol derivative prodrug metabolized into active fecal, renal elimination SE: same as ACEI but no dry cough, taste disturbances, angioedema | |
| eprosartan RAS inhibitor angiotensin 2 receptor blocker (ARB) competitive antagonist orally active fecal, renal elimination SE: same as ACEI but no dry cough, taste disturbances, angioedema | |
| EXP-3174 metabolite of losartan by CYP3A4 active non competitive antagonist tetrazol derivative | |
| mannitol osmotic diuretics very polar given IV if orally--> osmotic diarrhea | |
| sorbitol osmotic diuretics very polar given IV if orally--> osmotic diarrhea | |
| isosorbide osmotic diuretics given orally | |
| urea osmotic diuretics given IV unpleasant taste | |
| acetazolamide diuretics carbonic anhydrase inhibitors arylsulfonamide for glaucoma cause hypokalemia and metabolic acidosis | |
| methazolamide diuretics carbonic anhydrase inhibitors arylsulfonamide for glaucoma cause hypokalemia and metabolic acidosis | |
| ethoxzolamide diuretics carbonic anhydrase inhibitors arylsulfonamide for glaucoma cause hypokalemia and metabolic acidosis | |
| dichlorphenamide diuretics carbonic anhydrase inhibitors arylsulfonamide for glaucoma cause hypokalemia and metabolic acidosis | |
| benzene-1,3-disulfonamide aryl sulfonamide derivative | |
| aminochlorphenamine diuretics benzothiadiazine (thiazide) | |
| 6-chloro-1,2,4-benzothiadiazine-7-sulfonamide-1,1-dioxide diuretics benzothiadiazine (thiazide) | |
| quinethazone diuretics thiazide-like quinazolinone derivative orally active long DOA (18-24h) | |
| metolazone diuretics thiazide-like quinazolinone derivative orally active long DOA more potent | |
| chlorthalidone diuretics thiazide-like phthalamidine derivative orally active long DOA (48-72h) | |
| indapamide diuretics thiazide-like indoline derivative orally active long DOA (24-36h) potent | |
| furosemide diuretic loop diuretic orally active quick onset of action (30min) short DOA (6h) SE: electrolyte and fluid imbalance, hypokalemia, hyperurecemia, ototoxicity, hypersensitivity | |
| 5-sulfamoyl-anthranilic acid diuretic loop diuretic orthoaminobenzoic acid | |
| bumetanidediuretic loop diuretic 5-sulfamoyl-3-aminobenzoic acid derivative more potent (50X) orally active quick onset of action (30min) short DOA (6h) SE: electrolyte and fluid imbalance, hypokalemia, hyperurecemia, ototoxicity, hypersensitivity | |
| torsemide diuretic loop diuretic 4-amino-3-pyridine-sulfonylurea derivative orally active quick onset of action (30min) short DOA (6h) SE: electrolyte and fluid imbalance, hypokalemia, hyperurecemia, less ototoxicity, hypersensitivity | |
| ethacrynic acid diuretic loop diuretic phenoxyacetic acid derivative orally active quick onset of action (30min) short DOA (6h) SE: electrolyte and fluid imbalance, hypokalemia, hyperurecemia, greater ototoxicity, hypersensitivity, GI disturbances | |
| spironolactone diuretic potassium sparing agent aldosterone receptor antagonist steroid moiety orally active extensive first pass metabolism t 1/2= 1.4h short onset (17-72h)/long DOA(2-3d) SE: hyperkalemia, GI disturbances, steroid related (gynecomastia, breast tenderness...) | |
| canrenone diuretic potassium sparing agent aldosterone receptor antagonist steroid moiety orally active metabolite of spironolactone t 1/2=16.5 h SE: hyperkalemia, GI disturbances, steroid related (gynecomastia, breast tenderness...) | |
| canrenoic acid metabolite of canrenone inactive | |
| elprenone diuretic potassium sparing agent aldosterone receptor antagonist steroid moiety orally active extensive first pass metabolism t 1/2= 5h short onset (17-72h)/long DOA(2-3d) SE: hyperkalemia, GI disturbances, steroid related (gynecomastia, breast tenderness...) | |
| triamterene diuretic potassium sparing agent non-aldosterone receptor antagonist 2,4,7-triamino-6-phenylpteridine active incomplete absorbtion extensive metabolism into active (20% excreted unchanged, 80% metabolised t 1/2= 4h SE: hyperkalemia, renal stones | |
| amiloride diuretic potassium sparing agent non-aldosterone receptor antagonist aminopyrazine or pyrazinoly guanidine active mostly charged incomplete absorbtion renal excretion unchanged t 1/2= 21h SE: hyperkalemia | |
| antodyne | |
| apomorphine | |
| baclofen | |
| bromocriptine(parlodel) | |
| carisoprodol(rela soma) | |
| dantrolene sodium (dantrium) | |
| diazepam | |
| mephenesin | |
| meprobamate (equanil) | |
| pergolide (permax) | |
| ropinirol (requip) | |
| S-Pramipexole (mixapex) |
Want to create your own Flashcards for free with GoConqr? Learn more.