FÓRMULAS MATEMÁTICAS

Description

ALGUMAS FÓRMULAS UTILIZADAS
Ermisom Borges Borges
Flashcards by Ermisom Borges Borges, updated more than 1 year ago
Ermisom Borges Borges
Created by Ermisom Borges Borges over 9 years ago
28
1

Resource summary

Question Answer
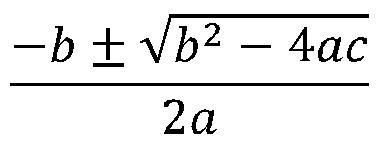
FÓRMULA DE BHASKARA
Área do triângulo equilatero
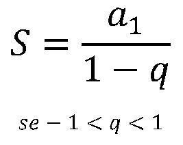
Soma dos termos de uma Progressão Geométrica
Volume da Pirâmide
Show full summary Hide full summary

Similar

Equações estatísticas
Luiz Fernando
Fórmulas de física
Alessandra S.
Distância, Velocidade, Tempo
Hugo Fonseca
Macetes para Fórmulas de Física
Marina Faria
Principais Fórmulas de Física
Luiz Fernando
Fórmulas de Física
GoConqr suporte .
Fórmulas de Física para Vestibular
GoConqr suporte .
Fórmulas para cálculo da área de um triângulo
GoConqr suporte .
Movimento Uniformemente Variado
Vitória Moraes3042
Velocidade
Vitória Moraes3042
Movimento Uniforme
Vitória Moraes3042