Derivadas Intro

Description

Nomeclatura e representação
kaique araujo
Flashcards by kaique araujo, updated more than 1 year ago
kaique araujo
Created by kaique araujo over 9 years ago
32
0

Resource summary

Question Answer
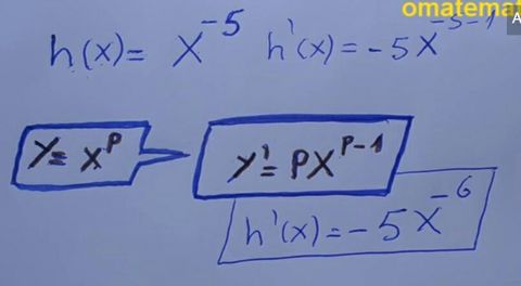
f(x)---f'(x) g(x )---g'(x) h(x)---h'(x) y---y' o--o' representações das derivadas
Regras para se achar uma Derivadas regras:
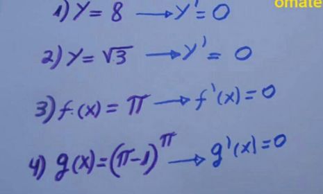
Resolvendo a primeira regra funcão constante derivada igual a 0 todo que tenha um numero real e igual a 0
2 regras "y=x-- y'=1" h(x)= h'(x) = 8(1) h'(x)= 8
ex:1 3 regra -5 esta negativo
ex:2 3 regra multiplica a derivada essa e a noividade
Soma de funções cujo qual se deriva cada um e depois soma todas elas resultado: f'(x)= 21x(q2)-2
ex:4 3 regra raiz Raiz
ex:3 regra 3 propriedade
Show full summary Hide full summary

Similar